2026年高考领航卷化学
注:目前有些书本章节名称可能整理的还不是很完善,但都是按照顺序排列的,请同学们按照顺序仔细查找。练习册 2026年高考领航卷化学 答案主要是用来给同学们做完题方便对答案用的,请勿直接抄袭。
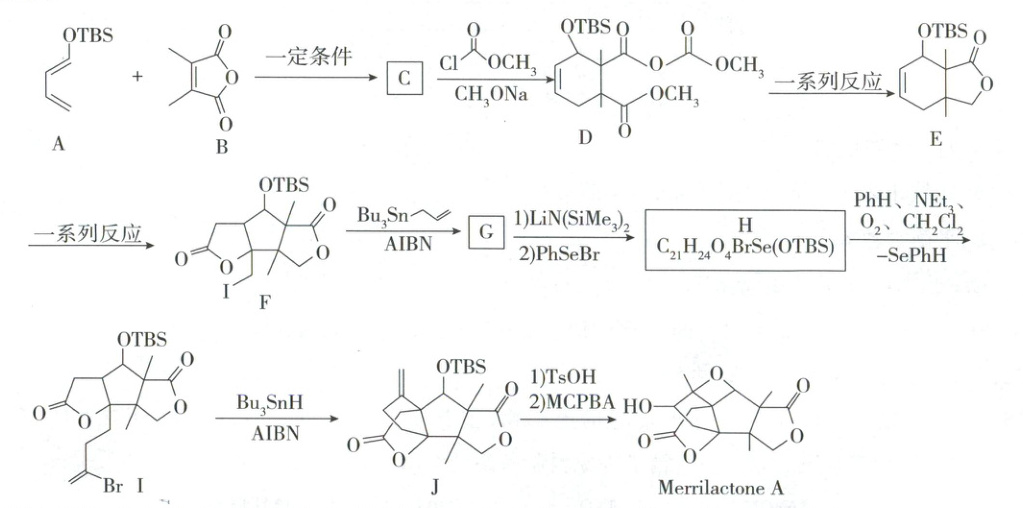
18. (15分)Merrilactone A对于阿尔茨海默病和帕金森病具有潜在的应用前景,它的一种合成路线如下:

已知:①Ph为苯基,Et为乙基,Me为甲基,Bu为丁基;②TBS(叔丁基二甲基硅基,$C_{6}H_{15}Si-$)是一种可取代羟基氢的基团;③$G→H$为加成反应。
回答下列问题:
(1)B可由脱水得到,中官能团的名称为________________________。
(2)$A + B→C$的化学方程式为________________________;$C→D$过程中会生成一种不可忽视的副产物X,试写出X的结构简式(提示:副产物X分子式与D相同)________________________。
(3)$F→G$的反应类型为________________________,I的分子式为________________________。
(4)Merrilactone A分子中有________________________个手性碳原子。
(5)符合下列条件的E的同分异构体有________________________种(不考虑立体异构)。
①分子中有且仅有一个环,苯环上有5个取代基但只有3种;
②可与$FeCl_{3}$溶液发生显色反应($-OTBS$不反应);
③$-OTBS$与苯环直接相连。
其中核磁共振氢谱(除$-OTBS$外)有4组峰且峰面积比为6:4:2:1的结构简式是________________________(写一种)。
已知:①Ph为苯基,Et为乙基,Me为甲基,Bu为丁基;②TBS(叔丁基二甲基硅基,$C_{6}H_{15}Si-$)是一种可取代羟基氢的基团;③$G→H$为加成反应。
回答下列问题:
(1)B可由脱水得到,中官能团的名称为________________________。
(2)$A + B→C$的化学方程式为________________________;$C→D$过程中会生成一种不可忽视的副产物X,试写出X的结构简式(提示:副产物X分子式与D相同)________________________。
(3)$F→G$的反应类型为________________________,I的分子式为________________________。
(4)Merrilactone A分子中有________________________个手性碳原子。
(5)符合下列条件的E的同分异构体有________________________种(不考虑立体异构)。
①分子中有且仅有一个环,苯环上有5个取代基但只有3种;
②可与$FeCl_{3}$溶液发生显色反应($-OTBS$不反应);
③$-OTBS$与苯环直接相连。
其中核磁共振氢谱(除$-OTBS$外)有4组峰且峰面积比为6:4:2:1的结构简式是________________________(写一种)。
答案:
(1)碳碳双键、羧基(2分)
(2)


(3)取代反应(1分) C₂₁H₃₃O₃BrSi(2分)
(4)7(2分)
(5)16(2分)
(1)碳碳双键、羧基(2分)
(2)
(3)取代反应(1分) C₂₁H₃₃O₃BrSi(2分)
(4)7(2分)
(5)16(2分)
查看更多完整答案,请扫码查看