2026年高考领航卷化学
注:目前有些书本章节名称可能整理的还不是很完善,但都是按照顺序排列的,请同学们按照顺序仔细查找。练习册 2026年高考领航卷化学 答案主要是用来给同学们做完题方便对答案用的,请勿直接抄袭。
5. 【2026届厦门外国语学校9月月考】对于下列过程中发生的化学反应,相应离子方程式正确的是
A.将少量CO₂通入NaClO溶液中:2ClO⁻ + CO₂ + H₂O = CO₃²⁻ + 2HClO
B.用过量Na₂CO₃溶液吸收Br₂:6CO₃²⁻ + 3Br₂ + 3H₂O = 5Br⁻ + BrO₃⁻ + 6HCO₃⁻
C.向硫酸氢钠溶液中滴加少量碳酸氢钡溶液:H⁺ + SO₄²⁻ + Ba²⁺ + HCO₃⁻ = BaSO₄↓ + CO₂↑ + H₂O
D.向H₂SO₃溶液中滴加Na₂S溶液,出现浅黄色浑浊:2S²⁻ + SO₃²⁻ + 6H⁺ = 3S↓ + 3H₂O
A.将少量CO₂通入NaClO溶液中:2ClO⁻ + CO₂ + H₂O = CO₃²⁻ + 2HClO
B.用过量Na₂CO₃溶液吸收Br₂:6CO₃²⁻ + 3Br₂ + 3H₂O = 5Br⁻ + BrO₃⁻ + 6HCO₃⁻
C.向硫酸氢钠溶液中滴加少量碳酸氢钡溶液:H⁺ + SO₄²⁻ + Ba²⁺ + HCO₃⁻ = BaSO₄↓ + CO₂↑ + H₂O
D.向H₂SO₃溶液中滴加Na₂S溶液,出现浅黄色浑浊:2S²⁻ + SO₃²⁻ + 6H⁺ = 3S↓ + 3H₂O
答案:
5.B 离子方程式正误判断 酸性H₂CO₃>HClO>HCO₃⁻,将少量CO₂通入NaClO溶液中,反应生成HCO₃⁻和HClO,正确的离子方程式为ClO⁻+CO₂+H₂O=HCO₃⁻+HClO,A错误;用过量Na₂CO₃溶液吸收Br₂,Br₂发生歧化反应,生成Br⁻、BrO₃⁻,同时由于Na₂CO₃过量,生成HCO₃⁻,离子方程式为6CO₃²⁻+3Br₂+3H₂O==5Br⁻+BrO₃⁻+6HCO₃⁻,B正确;碳酸氢钡溶液少量,应完全反应,且Ba(HCO₃)₂溶液中Ba²⁺、HCO₃⁻个数比为1:2 的关系[提示: 容易忽略量的关系],离子方程式为2H⁺+SO₄²⁻+Ba²⁺+2HCO₃⁻=BaSO₄↓+2CO₂↑+2H₂O,C错误;向H₂SO₃溶液中滴加Na₂S溶液,H₂SO₃与Na₂S发生归中反应,生成S和H₂O,正确的离子方程式为2S²⁻+H₂SO₃+4H⁺=3S↓+3H₂O,D错误。
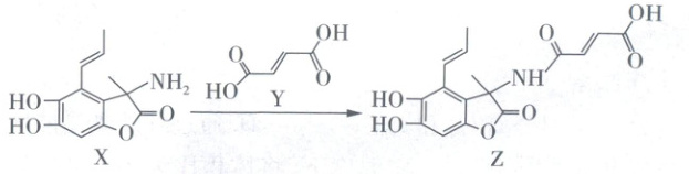
6. 【2026届南京学情调研】化合物Z具有广谱抗菌活性,可利用X和Y反应获得:

下列说法错误的是
A.X分子中所有碳原子共平面
B.X分子中含有1个手性碳原子
C.Y能使酸性高锰酸钾溶液褪色
D.酸性条件下Z的水解产物均能发生聚合反应
下列说法错误的是
A.X分子中所有碳原子共平面
B.X分子中含有1个手性碳原子
C.Y能使酸性高锰酸钾溶液褪色
D.酸性条件下Z的水解产物均能发生聚合反应
答案:
6.A 有机物的结构与性质 X分子中与—NH₂相连的C原子为sp³杂化,则所有C原子不可能共平面,A错误;X中只有与−NH₂相连的C原子周围连接四个不同的原子团,故含有一个手性碳原子,B正确;Y中有碳碳双键,能使酸性高锰酸钾溶液褪色,C正确;Z含有酰胺基和酯基,能发生水解反应,且水解产物中都有碳碳双键,都能发生加聚反应,D正确。
7. 【2026届广东部分学校9月联考】有A、B、D、E、X、Y、Z七种短周期元素,其中与B处于同一周期的只有D,Y的最高价氧化物对应的水化物与强酸、强碱均能反应,Z的单质在常温下为黄绿色气体,其余元素的信息如图所示。下列说法正确的是

A.金属性:X > Y
B.简单氢化物的沸点:B > D
C.最高价氧化物对应水化物的酸性:E > Z
D.A、D、Z三种元素所形成的化合物只含有共价键
A.金属性:X > Y
B.简单氢化物的沸点:B > D
C.最高价氧化物对应水化物的酸性:E > Z
D.A、D、Z三种元素所形成的化合物只含有共价键
答案:
7.A 元素周期律与元素推断
元素辨析A、B、D、E、X、Y、Z为七种短周期元素。Y的最高价氧化物对应的水化物能与强酸、强碱反应,则Y的最高价氧化物对应的水化物显两性,Y为Be或Al;Z的单质在常温下为黄绿色气体,则Z为Cl;B仅与D位于同一周期,二者的原子半径均小于E,且最外层电子数均小于E,则B、D为第二周期元素,E为第三周期元素,Y为Al,根据最外层电子数可知,B为C,D为N,E为S;A的原子半径最小,最外层电子数为1,则A 为H;X的原子半径最大,最外层电子数与H原子相同,则X为Na。
同周期元素从左到右金属性逐渐减弱,Na的金属性强于Al,A正确。B的简单氢化物为CH₄,D的简单氢化物为NH₃,NH₃分子间存在氢键,沸点更高,沸点:CH₄<NH₃,B错误。非金属性Cl>S,则酸性:HClO₄>H₂SO₄,C错误。A、D、Z三种元素所形成的化合物可能为NH₄Cl,NH₄Cl中含有离子键,D错误。
元素辨析A、B、D、E、X、Y、Z为七种短周期元素。Y的最高价氧化物对应的水化物能与强酸、强碱反应,则Y的最高价氧化物对应的水化物显两性,Y为Be或Al;Z的单质在常温下为黄绿色气体,则Z为Cl;B仅与D位于同一周期,二者的原子半径均小于E,且最外层电子数均小于E,则B、D为第二周期元素,E为第三周期元素,Y为Al,根据最外层电子数可知,B为C,D为N,E为S;A的原子半径最小,最外层电子数为1,则A 为H;X的原子半径最大,最外层电子数与H原子相同,则X为Na。
同周期元素从左到右金属性逐渐减弱,Na的金属性强于Al,A正确。B的简单氢化物为CH₄,D的简单氢化物为NH₃,NH₃分子间存在氢键,沸点更高,沸点:CH₄<NH₃,B错误。非金属性Cl>S,则酸性:HClO₄>H₂SO₄,C错误。A、D、Z三种元素所形成的化合物可能为NH₄Cl,NH₄Cl中含有离子键,D错误。
8. 【2026届重庆巴蜀中学9月月考】如图所示实验装置及描述正确的是

A.二茂铁易升华,可用图甲所示装置进行提纯
B.可用图乙所示装置制银氨溶液
C.利用图丙可验证FeCl₃与KI的反应是可逆反应
D.利用图丁可测定醋酸的浓度
A.二茂铁易升华,可用图甲所示装置进行提纯
B.可用图乙所示装置制银氨溶液
C.利用图丙可验证FeCl₃与KI的反应是可逆反应
D.利用图丁可测定醋酸的浓度
答案:
8.A实验装置分析 二茂铁易升华,图甲中加热蒸发皿,二茂铁升华,带孔滤纸可作为凝华的二茂铁载体,棉花球防止杂质进入,该简易装置可实现二茂铁的分离提纯,A正确;制银氨溶液应向AgNO₃溶液中逐滴滴加氨水至沉淀恰好溶解,图乙中试剂添加顺序错误,B错误;验证可逆反应需证明反应物和生成物同时存在,图丙中向FeCl₃溶液滴加几滴KI溶液,Fe³⁺过量,再加少量KSCN固体,溶液变红,是过量的Fe³⁺导致,无法证明反应可逆,C错误;用未知浓度的醋酸滴定NaOH溶液,终点产物为CH₃COONa,其水解使溶液显碱性,甲基橙的变色范围为pH3.1~4.4,应选酚酞作指示剂,D错误。
查看更多完整答案,请扫码查看