第3页
- 第1页
- 第2页
- 第3页
- 第4页
- 第5页
- 第6页
- 第7页
- 第8页
- 第9页
- 第10页
- 第11页
- 第12页
- 第13页
- 第14页
- 第15页
- 第16页
- 第17页
- 第18页
- 第19页
- 第20页
- 第21页
- 第22页
- 第23页
- 第24页
- 第25页
- 第26页
- 第27页
- 第28页
- 第29页
- 第30页
- 第31页
- 第32页
- 第33页
- 第34页
- 第35页
- 第36页
- 第37页
- 第38页
- 第39页
- 第40页
- 第41页
- 第42页
- 第43页
- 第44页
- 第45页
- 第46页
- 第47页
- 第48页
- 第49页
- 第50页
- 第51页
- 第52页
- 第53页
- 第54页
- 第55页
- 第56页
- 第57页
- 第58页
- 第59页
- 第60页
- 第61页
- 第62页
- 第63页
- 第64页
- 第65页
- 第66页
- 第67页
- 第68页
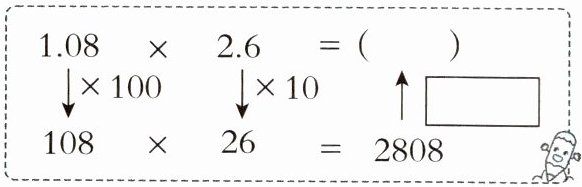
1. 算一算,填一填。
(1)

(2)

(1)
(2)
答案:
(1)2.808 ÷ 1000
(2)
(1)2.808 ÷ 1000
(2)
2. 新考法定义法

积的小数位数与因数小数位数的关系是什么?
积的小数位数与因数小数位数的关系是什么?
积的小数位数与因数小数位置的关系是积的小数位数等于各因数中小数位数的和。
答案:
3.52 ……(两)位小数
×0.6 ……(一)位小数
(2.112)……(三)位小数
积的小数位数与因数小数位置的关系是积的小数位数等于各因数中小数位数的和。
×0.6 ……(一)位小数
(2.112)……(三)位小数
积的小数位数与因数小数位置的关系是积的小数位数等于各因数中小数位数的和。
(1)$2.8×0.4$的积是(
两
)位小数;$0.37×1.23$的积是(四
)位小数。
答案:
(1)两 四
(2)已知$214×18= 3852$,那么$2.14×$(
18
)$=$(21.4
)$×1.8= 38.52$。
答案:
(2)18 21.4
4. 列竖式计算。
$3.6×1.8= $ $3.07×4.5= $
$3.6×1.8= $ $3.07×4.5= $
答案:
3.6×1.8=6.48

3.07×4.5=13.815

3.6×1.8=6.48
3.07×4.5=13.815
5. 新情境科普知识 蜗牛是爬得很慢的一种动物。下面这只蜗牛要到距离0.3千米远的地方觅食,它爬行7.5时能到达吗?

答案:
0.03×7.5=0.225(千米) 0.3>0.225
答:它爬行7.5时不能到达。
答:它爬行7.5时不能到达。
6. 新思维逆向思维 根据$794×98= 77812$,在下面的( )里填上合适的数。
$77.812= $(
$7.7812= $(
$77.812= $(
7.94
)$×$(9.8
)$=$(79.4
)$×$(0.98
)$7.7812= $(
7.94
)$×$(0.98
)$=$(0.794
)$×$(9.8
)
答案:
(答案不唯一)
7.94 9.8 79.4 0.98
7.94 0.98 0.794 9.8
7.94 9.8 79.4 0.98
7.94 0.98 0.794 9.8
7. 用数字卡片1、3、6、8和两个小数点组成一个一位小数乘一位小数的乘法算式,怎样组合才能使算式的积最小?怎样组合才能使算式的积最大?请写出相应的算式并计算出它们的结果。
答案:
积最小:1.6×3.8=6.08
积最大:8.1×6.3=51.03
积最大:8.1×6.3=51.03
查看更多完整答案,请扫码查看