第34页
- 第1页
- 第2页
- 第3页
- 第4页
- 第5页
- 第6页
- 第7页
- 第8页
- 第9页
- 第10页
- 第11页
- 第12页
- 第13页
- 第14页
- 第15页
- 第16页
- 第17页
- 第18页
- 第19页
- 第20页
- 第21页
- 第22页
- 第23页
- 第24页
- 第25页
- 第26页
- 第27页
- 第28页
- 第29页
- 第30页
- 第31页
- 第32页
- 第33页
- 第34页
- 第35页
- 第36页
- 第37页
- 第38页
- 第39页
- 第40页
- 第41页
- 第42页
- 第43页
- 第44页
- 第45页
- 第46页
- 第47页
- 第48页
- 第49页
- 第50页
- 第51页
- 第52页
- 第53页
- 第54页
- 第55页
- 第56页
- 第57页
- 第58页
- 第59页
- 第60页
- 第61页
- 第62页
- 第63页
- 第64页
- 第65页
- 第66页
- 第67页
- 第68页
- 第69页
- 第70页
- 第71页
- 第72页
- 第73页
- 第74页
- 第75页
- 第76页
- 第77页
- 第78页
- 第79页
- 第80页
- 第81页
- 第82页
- 第83页
- 第84页
- 第85页
- 第86页
- 第87页
- 第88页
- 第89页
- 第90页
- 第91页
- 第92页
- 第93页
- 第94页
- 第95页
- 第96页
- 第97页
- 第98页
- 第99页
- 第100页
- 第101页
- 第102页
- 第103页
- 第104页
- 第105页
- 第106页
- 第107页
- 第108页
- 第109页
- 第110页
- 第111页
- 第112页
- 第113页
- 第114页
- 第115页
- 第116页
- 第117页
- 第118页
- 第119页
- 第120页
- 第121页
- 第122页
- 第123页
- 第124页
- 第125页
- 第126页
- 第127页
- 第128页
- 第129页
- 第130页
- 第131页
- 第132页
- 第133页
- 第134页
- 第135页
- 第136页
- 第137页
- 第138页
- 第139页
- 第140页
- 第141页
- 第142页
- 第143页
- 第144页
- 第145页
- 第146页
- 第147页
- 第148页
- 第149页
- 第150页
- 第151页
- 第152页
- 第153页
- 第154页
- 第155页
- 第156页
- 第157页
- 第158页
- 第159页
- 第160页
- 第161页
- 第162页
- 第163页
- 第164页
- 第165页
- 第166页
- 第167页
- 第168页
- 第169页
- 第170页
- 第171页
- 第172页
- 第173页
- 第174页
- 第175页
- 第176页
- 第177页
- 第178页
21. (2025·江苏连云港月考)小明探究“凸透镜成像的规律”,通过实验得到了如表所示的实验数据,可知实验所用凸透镜的焦距为

10
$ \mathrm { cm } $;当 $ u = 23 \mathrm { cm } $ 时,$ v $ 的取值范围在17~18
$ \mathrm { cm } $ 之间;当 $ u $ 的范围在10~20
$ \mathrm { cm } $ 之间时,凸透镜成像规律与生活中的投影仪相同.
答案:
10 17~18 10~20 解析:当物距等于像距等于二倍焦距时,成倒立、等大的实像,由表中数据可知,u = v = 20cm = 2f,则该凸透镜的焦距f = 10cm。由表中数据可知,当像距等于22.5cm时,物距等于18cm,当像距等于24.3cm时,物距等于17cm,则像距等于23cm时,物距一定在17~18cm之间,光路具有可逆性,所以当物距为23cm时,像距一定在17~18cm之间;生活中的投影仪应用的成像规律是物距在一倍焦距和二倍焦距之间时成倒立、放大的实像,则u的范围在10~20cm之间。
22. 如图甲所示,一束入射光线与水平放置的平面镜成 $ 50 ^ { \circ } $ 角,则反射角为______度. 如图乙所示,若要使反射光线沿水平方向射出,则平面镜与水平面的夹角可能是______度.

答案:
40 25或65 解析:入射光线与水平面成50°角,则入射角为90° - 50° = 40°,由于反射角等于入射角,所以反射角也为40°。若要使反射光线沿水平方向射出,反射光线有水平向左和水平向右两种情况。若反射光线水平向左,如图a所示,则平面镜和水平面的夹角∠COD = $\frac{1}{2}$∠AOD = $\frac{1}{2}$×50° = 25°;若反射光线水平向右,如图b所示,则平面镜和水平面的夹角∠COD = $\frac{1}{2}$∠AOD = $\frac{1}{2}$×(180° - 50°) = 65°。
40 25或65 解析:入射光线与水平面成50°角,则入射角为90° - 50° = 40°,由于反射角等于入射角,所以反射角也为40°。若要使反射光线沿水平方向射出,反射光线有水平向左和水平向右两种情况。若反射光线水平向左,如图a所示,则平面镜和水平面的夹角∠COD = $\frac{1}{2}$∠AOD = $\frac{1}{2}$×50° = 25°;若反射光线水平向右,如图b所示,则平面镜和水平面的夹角∠COD = $\frac{1}{2}$∠AOD = $\frac{1}{2}$×(180° - 50°) = 65°。
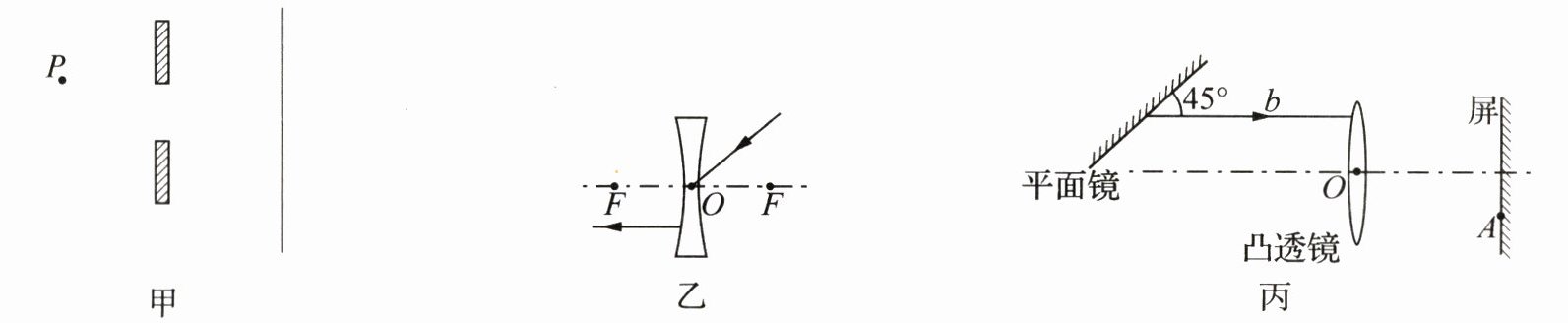
23. (6 分)按要求作图.
(1) 如图甲所示,$ P $ 为人眼的位置,请在图中作出人眼所能看到的挡板右侧墙壁的范围.
(2) 如图乙所示,$ F $ 为透镜的虚焦点,请作出与已知光线对应的入射光线和折射光线.
(3) (2024·广东广州改编)如图丙,光线 $ a $(图中未画出)射到平面镜上,其反射光线 $ b $ 平行于凸透镜的主光轴,$ b $ 经凸透镜折射后,射到屏上的 $ A $ 点.请画出入射光线 $ a $,并标出透镜右侧焦点 $ F $;保持入射光线 $ a $ 不变,绕入射点转动平面镜,画出使反射光线过凸透镜光心 $ O $ 时的平面镜的位置.

(1) 如图甲所示,$ P $ 为人眼的位置,请在图中作出人眼所能看到的挡板右侧墙壁的范围.
(2) 如图乙所示,$ F $ 为透镜的虚焦点,请作出与已知光线对应的入射光线和折射光线.
(3) (2024·广东广州改编)如图丙,光线 $ a $(图中未画出)射到平面镜上,其反射光线 $ b $ 平行于凸透镜的主光轴,$ b $ 经凸透镜折射后,射到屏上的 $ A $ 点.请画出入射光线 $ a $,并标出透镜右侧焦点 $ F $;保持入射光线 $ a $ 不变,绕入射点转动平面镜,画出使反射光线过凸透镜光心 $ O $ 时的平面镜的位置.
答案:
(1)如图所示

(2)如图所示

(3)如图所示
(1)如图所示
(2)如图所示
(3)如图所示
24. 新趋势 创新实验(6 分)小明想给吉他调节音准,如图甲所示,他决定先探究琴弦发声的音调与哪些因素有关,并设计了如图乙所示的实验装置.在一块厚木板上放置 $ A $、$ B $ 两个楔支撑琴弦,其中 $ A $ 楔固定,$ B $ 楔可沿木板移动以改变琴弦振动部分的长度,将琴弦的末端固定在木板 $ O $ 点,另一端通过滑轮悬挂不同个数的相同重物(重物个数越多,琴弦绷得越紧),轻轻拨动 $ A B $ 间的琴弦使其振动发声,并用仪器测出发声频率.

(1) 通过多次实验得到了表格中的数据,发现第
(2) 分析 1、2 两组数据,可探究琴弦发声的音调与
(3) 当表中空格处为
(4) 在上述探究的基础上,又选用一根横截面积为 $ 0.76 \mathrm { mm } ^ { 2 } $ 的尼龙弦,调节振动部分的长度为 $ 0.4 \mathrm { m } $,来探究音调与琴弦材料的关系,则应该悬挂
(1) 通过多次实验得到了表格中的数据,发现第
2
次实验中琴弦发声的音调最低.(2) 分析 1、2 两组数据,可探究琴弦发声的音调与
琴弦振动部分长度
的关系.(3) 当表中空格处为
0.8
时,可用 2、3 两组数据探究琴弦发声的音调与琴弦松紧程度的关系.(4) 在上述探究的基础上,又选用一根横截面积为 $ 0.76 \mathrm { mm } ^ { 2 } $ 的尼龙弦,调节振动部分的长度为 $ 0.4 \mathrm { m } $,来探究音调与琴弦材料的关系,则应该悬挂
2
个重物.
答案:
(¹)2
(2)琴弦振动部分长度
(3)0.8
(4)2
(2)琴弦振动部分长度
(3)0.8
(4)2
查看更多完整答案,请扫码查看