2025年暑假大串联安徽人民出版社八年级数学北师大版
注:目前有些书本章节名称可能整理的还不是很完善,但都是按照顺序排列的,请同学们按照顺序仔细查找。练习册 2025年暑假大串联安徽人民出版社八年级数学北师大版 答案主要是用来给同学们做完题方便对答案用的,请勿直接抄袭。
第19页
- 第1页
- 第2页
- 第3页
- 第4页
- 第5页
- 第6页
- 第7页
- 第8页
- 第9页
- 第10页
- 第11页
- 第12页
- 第13页
- 第14页
- 第15页
- 第16页
- 第17页
- 第18页
- 第19页
- 第20页
- 第21页
- 第22页
- 第23页
- 第24页
- 第25页
- 第26页
- 第27页
- 第28页
- 第29页
- 第30页
- 第31页
- 第32页
- 第33页
- 第34页
- 第35页
- 第36页
- 第37页
- 第38页
- 第39页
- 第40页
- 第41页
- 第42页
- 第43页
- 第44页
- 第45页
- 第46页
- 第47页
- 第48页
- 第49页
- 第50页
- 第51页
- 第52页
- 第53页
- 第54页
- 第55页
- 第56页
- 第57页
- 第58页
- 第59页
- 第60页
- 第61页
- 第62页
- 第63页
- 第64页
- 第65页
- 第66页
9. 如图,在直角坐标系中,直线$y = kx + b经过(0,4)$,$(10,- 4)$两点,与$x轴交于点A$,与$y轴交于点B$.

(1)求这条直线的解析式;
(2)求出三角形$AOB$的面积;
(3)观察图象直接写出:当$x$取何值时,$y大于0$?当$x$取何值时,$y小于0$?
(4)如果$P点是x$轴上的一点,且$\triangle PAB$为等腰三角形,请你直接写出符合条件的$P$点的坐标.
(1)求这条直线的解析式;
(2)求出三角形$AOB$的面积;
(3)观察图象直接写出:当$x$取何值时,$y大于0$?当$x$取何值时,$y小于0$?
(4)如果$P点是x$轴上的一点,且$\triangle PAB$为等腰三角形,请你直接写出符合条件的$P$点的坐标.
答案:
解:
(1)把(0,4)(10,−4)代入y = kx + b,得:
$\begin{cases}b = 4, \\10k + b = -4,\end{cases}$
解得
$\begin{cases}k = -\frac{4}{5}, \\b = 4,\end{cases}$
∴这条直线的解析式是y = −$\frac{4}{5}$x + 4;
(2)当x = 0时,y = 4,
当y = 0时,0 = −$\frac{4}{5}$x + 4,解得x = 5,
∴A(5,0),B(0,4),
∴S△AOB = $\frac{1}{2}$×4×5 = 10;
(3)由图象可知:当x<5时,y>0;当x >5时,y<0;
(4)①如图1,当PA = PB时,
设P(x,0),则AP = 5 - x,
在Rt△PBO中,OP² + OB² = PB²,
∴x² + 4² = (5 - x)²,解得x = $\frac{9}{10}$,
∴P点的坐标是($\frac{9}{10}$,0)。

②如图2,当AP = AB = $\sqrt{41}$时,
∵A点的坐标是(5,0),
∴P点的坐标是(5 - $\sqrt{41}$,0)或(5 + $\sqrt{41}$,0)。

③如图3,当BP = BA = $\sqrt{41}$时,
∵A点的坐标是(5,0),
∴P点的坐标是(−5,0)。

综上,当△PAB为等腰三角形时,P点的坐标是($\frac{9}{10}$,0)或(5 - $\sqrt{41}$,0)或(5 + $\sqrt{41}$,0)或(−5,0)。
解:
(1)把(0,4)(10,−4)代入y = kx + b,得:
$\begin{cases}b = 4, \\10k + b = -4,\end{cases}$
解得
$\begin{cases}k = -\frac{4}{5}, \\b = 4,\end{cases}$
∴这条直线的解析式是y = −$\frac{4}{5}$x + 4;
(2)当x = 0时,y = 4,
当y = 0时,0 = −$\frac{4}{5}$x + 4,解得x = 5,
∴A(5,0),B(0,4),
∴S△AOB = $\frac{1}{2}$×4×5 = 10;
(3)由图象可知:当x<5时,y>0;当x >5时,y<0;
(4)①如图1,当PA = PB时,
设P(x,0),则AP = 5 - x,
在Rt△PBO中,OP² + OB² = PB²,
∴x² + 4² = (5 - x)²,解得x = $\frac{9}{10}$,
∴P点的坐标是($\frac{9}{10}$,0)。
②如图2,当AP = AB = $\sqrt{41}$时,
∵A点的坐标是(5,0),
∴P点的坐标是(5 - $\sqrt{41}$,0)或(5 + $\sqrt{41}$,0)。
③如图3,当BP = BA = $\sqrt{41}$时,
∵A点的坐标是(5,0),
∴P点的坐标是(−5,0)。
综上,当△PAB为等腰三角形时,P点的坐标是($\frac{9}{10}$,0)或(5 - $\sqrt{41}$,0)或(5 + $\sqrt{41}$,0)或(−5,0)。
1. 当$kb < 0$时,一次函数$y = kx + b$的图象一定经过 ()
A. 第一、三象限
B. 第一、四象限
C. 第二、三象限
D. 第二、四象限
A. 第一、三象限
B. 第一、四象限
C. 第二、三象限
D. 第二、四象限
答案:
B
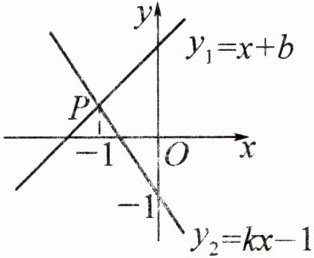
2. 如图所示,直线$y_{1} = x + b与y_{2} = kx - 1相交于点P$,点$P的横坐标为- 1$,则关于$x的不等式x + b > kx - 1$的解集在数轴上表示正确的是 ()


答案:
A
3. 在平面直角坐标系中,将直线$y = - 2x + 1$向下平移4个单位长度后,所得直线的解析式为____.
答案:
y = −2x −3
4. 按照下列计算程序求解:

当$x_{0} = 500$时,输出的$y$的值是____.
当$x_{0} = 500$时,输出的$y$的值是____.
答案:
−991
5. 已知某工厂计划用库存的$302m^{2}$木料为某学校生产500套桌椅,供该校1250名学生使用.该厂生产的桌椅分为$A$,$B$两种型号,有关数据如下:
|桌椅型号|一套桌椅所坐学生人数(人)|生产一套桌椅所需木料($m^{2}$)|一套桌椅的生产成本(元)|一套桌椅的运费(元)|
|----|----|----|----|----|
|$A$|2|0.5|100|2|
|$B$|3|0.7|120|4|
设生产$A型桌椅x$(套),生产全部桌椅并运往该校的总费用(总费用$=生产成本+$运费)为$y$(元).
(1)求$y与x$之间的关系式,并指出$x$的取值范围;
(2)当总费用$y$最小时,求相应的$x值及此时y$的值.
|桌椅型号|一套桌椅所坐学生人数(人)|生产一套桌椅所需木料($m^{2}$)|一套桌椅的生产成本(元)|一套桌椅的运费(元)|
|----|----|----|----|----|
|$A$|2|0.5|100|2|
|$B$|3|0.7|120|4|
设生产$A型桌椅x$(套),生产全部桌椅并运往该校的总费用(总费用$=生产成本+$运费)为$y$(元).
(1)求$y与x$之间的关系式,并指出$x$的取值范围;
(2)当总费用$y$最小时,求相应的$x值及此时y$的值.
答案:
解:
(1)由题意得:生产B型桌椅(500 - x)套;
则y = (100 + 2)x + (120 + 4)(500 - x) = -22x + 62000。
又
$\begin{cases}2x + 3(500 - x) \geq 1250, \\0.5x + 0.7(500 - x) \leq 302;\end{cases}$
解得:240 ≤ x ≤ 250,
∴y = -22x + 62000(240 ≤ x ≤ 250)。
(2)
∵k = -22<0,
∴y随x的增大而减小,
∴当x = 250时,总费用y最小,此时y = 56500。
(1)由题意得:生产B型桌椅(500 - x)套;
则y = (100 + 2)x + (120 + 4)(500 - x) = -22x + 62000。
又
$\begin{cases}2x + 3(500 - x) \geq 1250, \\0.5x + 0.7(500 - x) \leq 302;\end{cases}$
解得:240 ≤ x ≤ 250,
∴y = -22x + 62000(240 ≤ x ≤ 250)。
(2)
∵k = -22<0,
∴y随x的增大而减小,
∴当x = 250时,总费用y最小,此时y = 56500。
查看更多完整答案,请扫码查看