2025年教材课本高中数学选择性必修第二册人教B版
注:目前有些书本章节名称可能整理的还不是很完善,但都是按照顺序排列的,请同学们按照顺序仔细查找。练习册 2025年教材课本高中数学选择性必修第二册人教B版 答案主要是用来给同学们做完题方便对答案用的,请勿直接抄袭。
第78页
- 第1页
- 第2页
- 第3页
- 第4页
- 第5页
- 第6页
- 第7页
- 第8页
- 第9页
- 第10页
- 第11页
- 第12页
- 第13页
- 第14页
- 第15页
- 第16页
- 第17页
- 第18页
- 第19页
- 第20页
- 第21页
- 第22页
- 第23页
- 第24页
- 第25页
- 第26页
- 第27页
- 第28页
- 第29页
- 第30页
- 第31页
- 第32页
- 第33页
- 第34页
- 第35页
- 第36页
- 第37页
- 第38页
- 第39页
- 第40页
- 第41页
- 第42页
- 第43页
- 第44页
- 第45页
- 第46页
- 第47页
- 第48页
- 第49页
- 第50页
- 第51页
- 第52页
- 第53页
- 第54页
- 第55页
- 第56页
- 第57页
- 第58页
- 第59页
- 第60页
- 第61页
- 第62页
- 第63页
- 第64页
- 第65页
- 第66页
- 第67页
- 第68页
- 第69页
- 第70页
- 第71页
- 第72页
- 第73页
- 第74页
- 第75页
- 第76页
- 第77页
- 第78页
- 第79页
- 第80页
- 第81页
- 第82页
- 第83页
- 第84页
- 第85页
- 第86页
- 第87页
- 第88页
- 第89页
- 第90页
- 第91页
- 第92页
- 第93页
- 第94页
- 第95页
- 第96页
- 第97页
- 第98页
- 第99页
- 第100页
- 第101页
- 第102页
- 第103页
- 第104页
3. 超几何分布
尝试与发现
某校组织一次认识大自然的夏令营活动,有10名同学参加,其中有6名男生、4名女生,现要从这10名同学中随机抽取3名去采集自然标本。
(1)抽取的人中恰有1名女生的概率是多少?
(2)设抽取的人中女生有X名,写出X的分布列。
注意到从10名同学中随机抽取3人,共有C103种不同的抽法,也就是说,样本空间中样本点的数量是C103。另外,抽取的人中恰有1名女生,等价于抽取的是1名女生和2名男生,因此包含的样本点数为C41C62,因此所求概率为
C103C41C62=21。
如果抽取的人中女生数为X,则X的取值范围是
{0,1,2,3},
而且我们已经算出
P(X=1)=C103C41C62=21,
用类似的办法可知
P(X=0)=C103C40C63=61,
P(X=2)=______
P(X=3)=______
因此X的分布列为
|X|0|1|2|3|
|P|61|21|______|______|




若第一次抽到
都可以近似为
尝试与发现
某校组织一次认识大自然的夏令营活动,有10名同学参加,其中有6名男生、4名女生,现要从这10名同学中随机抽取3名去采集自然标本。
(1)抽取的人中恰有1名女生的概率是多少?
(2)设抽取的人中女生有X名,写出X的分布列。
注意到从10名同学中随机抽取3人,共有C103种不同的抽法,也就是说,样本空间中样本点的数量是C103。另外,抽取的人中恰有1名女生,等价于抽取的是1名女生和2名男生,因此包含的样本点数为C41C62,因此所求概率为
C103C41C62=21。
如果抽取的人中女生数为X,则X的取值范围是
{0,1,2,3},
而且我们已经算出
P(X=1)=C103C41C62=21,
用类似的办法可知
P(X=0)=C103C40C63=61,
P(X=2)=______
P(X=3)=______
因此X的分布列为
|X|0|1|2|3|
|P|61|21|______|______|
由此可以看出,上述尝试与发现中的随机
变量X服从参数为10,3,4的超几何分布,
即X~H(10,3,4).服从超几何分布的随机
变量,其概率分布也可用图直观地表示,如图
4-2-7所示.
例3学校要从5名男教师和2名女教师中随机选出3人去支教,设选
出的女教师人数为X,求P
解由题意知,X服从参数为7,3,2的超几何分布,即X~H(7,
3,2),因此
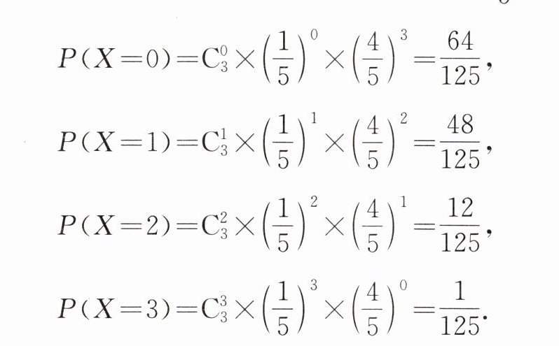
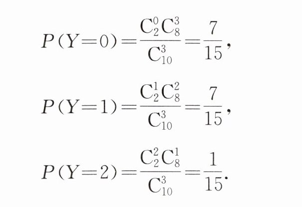
例4袋中有8个白球、2个黑球,从中随机地连续抽取3次,每次取
1个球.
(1)若每次抽取后都放回,设取到黑球的个数为X,求X的分布列;
(2)若每次抽取后都不放回,设取到黑球的个数为Y,求Y的分布列.
「解】(1)若每次抽取后都放回,则每次抽到黑球的概率均为
而3次取球可以看成3次独立重复试验,因此X~B(3,
),所以
因此X的分布列为
(2)若每次抽取后都不放回,则随机抽取3次可看成随机抽取1次,
但1次抽取了3个,因此黑球数Y服从参数为10,3,2的超几何分布,
即
因此
因此Y的分布列为
例4中的(2)也可直接使用有关排列组合的知识求解,感兴趣的读者
可以自行尝试.由例4可知,若N件产品中共有M件次品,当我们从这些
产品中每次抽取一件,共抽取n次进行检查时,若是有放回地抽样,则抽到
的次品数X服从的是二项分布;若是不放回地抽样且
,则抽到的次
品数X服从的是超几何分布.
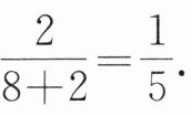
探索与研究
若N件产品中共有M件次品(N>1,M>1,N>M),则不放回地抽样中,
第一次抽到次品的概率为
而第二次抽到次品的概率与第一次抽到的是否为次品
有关:若第一次抽到的是次品,则第二次抽到次品的概率为N=;
的不是次品,则第二次抽到次品的概率为
·不过,当N相对M来说很大时,
由以上信息出发,探索二项分布与超几何分布之间的联系。
答案:
查看更多完整答案,请扫码查看