2025年考点集训与满分备考四年级数学下册北师大版
注:目前有些书本章节名称可能整理的还不是很完善,但都是按照顺序排列的,请同学们按照顺序仔细查找。练习册 2025年考点集训与满分备考四年级数学下册北师大版 答案主要是用来给同学们做完题方便对答案用的,请勿直接抄袭。
第66页
- 第1页
- 第2页
- 第3页
- 第4页
- 第5页
- 第6页
- 第7页
- 第8页
- 第9页
- 第10页
- 第11页
- 第12页
- 第13页
- 第14页
- 第15页
- 第16页
- 第17页
- 第18页
- 第19页
- 第20页
- 第21页
- 第22页
- 第23页
- 第24页
- 第25页
- 第26页
- 第27页
- 第28页
- 第29页
- 第30页
- 第31页
- 第32页
- 第33页
- 第34页
- 第35页
- 第36页
- 第37页
- 第38页
- 第39页
- 第40页
- 第41页
- 第42页
- 第43页
- 第44页
- 第45页
- 第46页
- 第47页
- 第48页
- 第49页
- 第50页
- 第51页
- 第52页
- 第53页
- 第54页
- 第55页
- 第56页
- 第57页
- 第58页
- 第59页
- 第60页
- 第61页
- 第62页
- 第63页
- 第64页
- 第65页
- 第66页
- 第67页
- 第68页
- 第69页
- 第70页
- 第71页
- 第72页
- 第73页
- 第74页
- 第75页
- 第76页
- 第77页
- 第78页
- 第79页
- 第80页
- 第81页
- 第82页
- 第83页
- 第84页
- 第85页
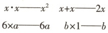
7. 连一连。
x·x 2x
x + x 6a
6×a b
b×1 x²
x·x 2x
x + x 6a
6×a b
b×1 x²
答案:
8. 学校买来5个篮球,每个x元;买来4个排球,每个y元。一共花了多少元?
答案:
5x+4y
9. 下面是小明家客厅和厨房的平面图。客厅和厨房的面积分别是多少平方米?

答案:
客厅:S=8×a=8a 厨房:S=5×a=5a
10. 某建筑工地运来一堆沙子,第一次用去a吨,第二次用去b吨,第三次用去的是前两次一共用去的2倍。
(1)a + b、2(a + b)分别表示什么?
(2)三次一共用了多少吨?
(1)a + b、2(a + b)分别表示什么?
(2)三次一共用了多少吨?
答案:
(1)a+b表示第一次和第二次一共用去的沙子吨数,2(a+b)表示第三次用去的沙子的吨数。
(2)a+b+2(a+b)=3a+3b(吨)
(1)a+b表示第一次和第二次一共用去的沙子吨数,2(a+b)表示第三次用去的沙子的吨数。
(2)a+b+2(a+b)=3a+3b(吨)
11. 看图回答问题

(1)一个正方形的周长是( )厘米,2个正方形拼成一个长方形的周长是( )厘米。
(2)n个正方形拼成一个长方形的周长是多少厘米?
(1)一个正方形的周长是( )厘米,2个正方形拼成一个长方形的周长是( )厘米。
(2)n个正方形拼成一个长方形的周长是多少厘米?
答案:
(1)4a 6a
(2)(2n+2)a
(1)4a 6a
(2)(2n+2)a
12. 下面这个图形的周长和面积分别是多少?

答案:
C=2a+2b+2n S=ab - n²
查看更多完整答案,请扫码查看