2025年赢在假期期末加寒假七年级数学沪科版合肥工业大学出版社
注:目前有些书本章节名称可能整理的还不是很完善,但都是按照顺序排列的,请同学们按照顺序仔细查找。练习册 2025年赢在假期期末加寒假七年级数学沪科版合肥工业大学出版社 答案主要是用来给同学们做完题方便对答案用的,请勿直接抄袭。
11. 有甲、乙两种商品,若购甲2件、乙1件共需120元,若购甲1件、乙2件共需180元,则购甲、乙两种商品各1件共需_______元.
答案:
100
12. 材料:如果一个四位自然数$M$的十位数字等于千位数字的两倍,百位数学与个位数字的差为3,且各个数位的数字均不为0,把它的前两位数字组成的两位数记为$x$,后两位数字组成的两位数记为$y$,规定$F(M)=2x + y$,当$F(M)$能被7整除时,称这个四位数为“奇妙数”. 若“奇妙数”$M=\overline{abcd}$($1\leqslant a,b,c,d\leqslant9$,$a$,$b$,$c$,$d$为整数),则$F(M)=$_______(用含字母$a$和$d$的代数式表示),符合条件的“奇妙数”$M$的最大值与最小值的差为_______.
答案:
$40a + 3d + 6$ 3262
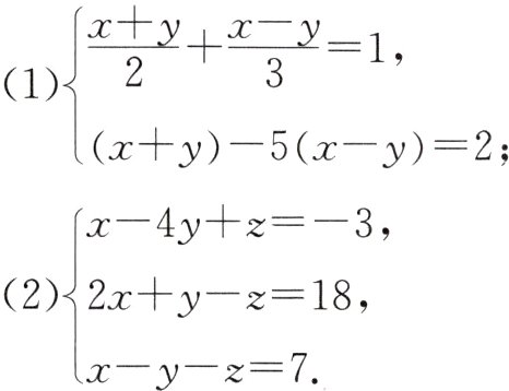
13. 用合适的方法解方程组.

答案:
解:
(1)设$x + y = a$,$x - y = b$,则原方程组变成$\begin{cases}\frac{1}{2}a + \frac{1}{3}b = 1\\a - 5b = 2\end{cases}$,解得$\begin{cases}a = 2\\b = 0\end{cases}$,把$\begin{cases}a = 2\\b = 0\end{cases}$代入$x + y = a$,$x - y = b$,得$\begin{cases}x + y = 2\\x - y = 0\end{cases}$,解得$\begin{cases}x = 1\\y = 1\end{cases}$,所以原方程组的解为$\begin{cases}x = 1\\y = 1\end{cases}$;
(2)$\begin{cases}x - 4y + z = -3①\\2x + y - z = 18②\\x - y - z = 7③\end{cases}$,由① + ②,得$3x - 3y = 15$,即$x - y = 5$④,把④代入③式,可得出$z = -2$,把$z = -2$代入①,②得$\begin{cases}x - 4y = -1\\2x + y = 16\end{cases}$,解得$\begin{cases}x = 7\\y = 2\end{cases}$,所以原方程组的解为$\begin{cases}x = 7\\y = 2\\z = -2\end{cases}$。
(1)设$x + y = a$,$x - y = b$,则原方程组变成$\begin{cases}\frac{1}{2}a + \frac{1}{3}b = 1\\a - 5b = 2\end{cases}$,解得$\begin{cases}a = 2\\b = 0\end{cases}$,把$\begin{cases}a = 2\\b = 0\end{cases}$代入$x + y = a$,$x - y = b$,得$\begin{cases}x + y = 2\\x - y = 0\end{cases}$,解得$\begin{cases}x = 1\\y = 1\end{cases}$,所以原方程组的解为$\begin{cases}x = 1\\y = 1\end{cases}$;
(2)$\begin{cases}x - 4y + z = -3①\\2x + y - z = 18②\\x - y - z = 7③\end{cases}$,由① + ②,得$3x - 3y = 15$,即$x - y = 5$④,把④代入③式,可得出$z = -2$,把$z = -2$代入①,②得$\begin{cases}x - 4y = -1\\2x + y = 16\end{cases}$,解得$\begin{cases}x = 7\\y = 2\end{cases}$,所以原方程组的解为$\begin{cases}x = 7\\y = 2\\z = -2\end{cases}$。
14. 已知关于$x$,$y$的方程组$\begin{cases}x + 2y - 6 = 0\\x - 2y + mx + 4m = 0\end{cases}$.
(1) 若方程组的解满足$x + y = 0$,求$m$的值;
(2) 无论实数$m$取何值,方程$x - 2y + mx + 4m = 0$总有一个固定的解,请求出这个解;
(3) 若方程组的解中$x$为整数,且$m$是自然数,求$m$的值.
(1) 若方程组的解满足$x + y = 0$,求$m$的值;
(2) 无论实数$m$取何值,方程$x - 2y + mx + 4m = 0$总有一个固定的解,请求出这个解;
(3) 若方程组的解中$x$为整数,且$m$是自然数,求$m$的值.
答案:
解:
(1)由题意得$\begin{cases}x + y = 0\\x + 2y - 6 = 0\end{cases}$,解得$\begin{cases}x = -6\\y = 6\end{cases}$,把$\begin{cases}x = -6\\y = 6\end{cases}$代入$x - 2y + mx + 4m = 0$,解得$m = -9$;
(2)$x - 2y + mx + 4m = 0$,$x - 2y + m(x + 4) = 0$,所以当$x + 4 = 0$,$x = -4$时,$y = -2$,即固定的解为$\begin{cases}x = -4\\y = -2\end{cases}$;
(3)$\begin{cases}x + 2y - 6 = 0①\\x - 2y + mx + 4m = 0②\end{cases}$,① + ②得$2x - 6 + mx + 4m = 0$,$(2 + m)x = 6 - 4m$,$x = \frac{6 - 4m}{m + 2} = \frac{-4(m + 2) + 14}{m + 2} = -4 + \frac{14}{m + 2}$。因为$x$为整数,所以$m + 2 = \pm1,\pm2,\pm7,\pm14$,且$m$为自然数,所以$m + 2 = 2$或$7$或$14$,$m = 0$或$5$或$12$。
(1)由题意得$\begin{cases}x + y = 0\\x + 2y - 6 = 0\end{cases}$,解得$\begin{cases}x = -6\\y = 6\end{cases}$,把$\begin{cases}x = -6\\y = 6\end{cases}$代入$x - 2y + mx + 4m = 0$,解得$m = -9$;
(2)$x - 2y + mx + 4m = 0$,$x - 2y + m(x + 4) = 0$,所以当$x + 4 = 0$,$x = -4$时,$y = -2$,即固定的解为$\begin{cases}x = -4\\y = -2\end{cases}$;
(3)$\begin{cases}x + 2y - 6 = 0①\\x - 2y + mx + 4m = 0②\end{cases}$,① + ②得$2x - 6 + mx + 4m = 0$,$(2 + m)x = 6 - 4m$,$x = \frac{6 - 4m}{m + 2} = \frac{-4(m + 2) + 14}{m + 2} = -4 + \frac{14}{m + 2}$。因为$x$为整数,所以$m + 2 = \pm1,\pm2,\pm7,\pm14$,且$m$为自然数,所以$m + 2 = 2$或$7$或$14$,$m = 0$或$5$或$12$。
15. 一家工厂里2个男工和4个女工一天可加工全部零件的$\frac{3}{10}$,8个男工和10个女工一天内可加工完全部零件. 如果把单独让男工加工和单独让女工加工进行比较,要在一天内完成任务,女工要比男工多多少人?
答案:
解:设男工的工作效率为$x$,女工的工作效率为$y$,根据题意得$\begin{cases}2x + 4y = \frac{3}{10}\\8x + 10y = 1\end{cases}$,解得$\begin{cases}x = \frac{1}{12}\\y = \frac{1}{30}\end{cases}$,如果单独让男工加工或单独让女工加工,需要男工$1\div\frac{1}{12} = 12$(人),需要女工$1\div\frac{1}{30} = 30$(人),女工比男工多$30 - 12 = 18$(人)。故女工比男工要多18人。
16. 某汽车销售公司计划购进一批新能源汽车尝试进行销售,据了解2辆$A$型汽车、3辆$B$型汽车的进价共计80万元;3辆$A$型汽车、2辆$B$型汽车的进价共计95万元.
(1) 求$A$、$B$两种型号的汽车每辆进价分别为多少万元?
(2) 若该公司计划正好用180万元购进以上两种型号的新能源汽车(两种型号的汽车均购买),请你帮助该公司设计购买方案;
(3) 若该汽车销售公司销售1辆$A$型汽车可获利8000元,销售1辆$B$型汽车可获利6000元,在(2)中的购买方案中,假如这些新能源汽车全部售出,哪种方案获利最大?最大利润是多少元?
(1) 求$A$、$B$两种型号的汽车每辆进价分别为多少万元?
(2) 若该公司计划正好用180万元购进以上两种型号的新能源汽车(两种型号的汽车均购买),请你帮助该公司设计购买方案;
(3) 若该汽车销售公司销售1辆$A$型汽车可获利8000元,销售1辆$B$型汽车可获利6000元,在(2)中的购买方案中,假如这些新能源汽车全部售出,哪种方案获利最大?最大利润是多少元?
答案:
解:
(1)设$A$种型号的汽车每辆进价为$a$万元,$B$种型号的汽车每辆进价为$b$万元,由题意可得$\begin{cases}2a + 3b = 80\\3a + 2b = 95\end{cases}$,解得$\begin{cases}a = 25\\b = 10\end{cases}$,答:$A$、$B$两种型号的汽车每辆进价分别为25万元、10万元。
(2)设购买$A$型号的汽车$m$辆,$B$型号的汽车$n$辆,由题意可得$25m + 10n = 180$且$m>0$,$n>0$,解得$\begin{cases}m = 2\\n = 13\end{cases}$或$\begin{cases}m = 4\\n = 8\end{cases}$或$\begin{cases}m = 6\\n = 3\end{cases}$,所以该公司共有三种购买方案:方案一:购买2辆$A$型汽车,购买13辆$B$型汽车;方案二:购买4辆$A$型汽车,购买8辆$B$型汽车;方案三:购买6辆$A$型汽车,购买3辆$B$型汽车;
(3)当$m = 2$,$n = 13$时,获得的利润为$8000\times2 + 6000\times13 = 94000$(元);当$m = 4$,$n = 8$时,获得的利润为$8000\times4 + 6000\times8 = 80000$(元);当$m = 6$,$n = 3$时,获得的利润为$8000\times6 + 6000\times3 = 66000$(元);由上可得,最大利润为94000元。所以购买2辆$A$型汽车,购买13辆$B$型汽车获利最大,最大利润为94000元。
(1)设$A$种型号的汽车每辆进价为$a$万元,$B$种型号的汽车每辆进价为$b$万元,由题意可得$\begin{cases}2a + 3b = 80\\3a + 2b = 95\end{cases}$,解得$\begin{cases}a = 25\\b = 10\end{cases}$,答:$A$、$B$两种型号的汽车每辆进价分别为25万元、10万元。
(2)设购买$A$型号的汽车$m$辆,$B$型号的汽车$n$辆,由题意可得$25m + 10n = 180$且$m>0$,$n>0$,解得$\begin{cases}m = 2\\n = 13\end{cases}$或$\begin{cases}m = 4\\n = 8\end{cases}$或$\begin{cases}m = 6\\n = 3\end{cases}$,所以该公司共有三种购买方案:方案一:购买2辆$A$型汽车,购买13辆$B$型汽车;方案二:购买4辆$A$型汽车,购买8辆$B$型汽车;方案三:购买6辆$A$型汽车,购买3辆$B$型汽车;
(3)当$m = 2$,$n = 13$时,获得的利润为$8000\times2 + 6000\times13 = 94000$(元);当$m = 4$,$n = 8$时,获得的利润为$8000\times4 + 6000\times8 = 80000$(元);当$m = 6$,$n = 3$时,获得的利润为$8000\times6 + 6000\times3 = 66000$(元);由上可得,最大利润为94000元。所以购买2辆$A$型汽车,购买13辆$B$型汽车获利最大,最大利润为94000元。
查看更多完整答案,请扫码查看