第58页
- 第1页
- 第2页
- 第3页
- 第4页
- 第5页
- 第6页
- 第7页
- 第8页
- 第9页
- 第10页
- 第11页
- 第12页
- 第13页
- 第14页
- 第15页
- 第16页
- 第17页
- 第18页
- 第19页
- 第20页
- 第21页
- 第22页
- 第23页
- 第24页
- 第25页
- 第26页
- 第27页
- 第28页
- 第29页
- 第30页
- 第31页
- 第32页
- 第33页
- 第34页
- 第35页
- 第36页
- 第37页
- 第38页
- 第39页
- 第40页
- 第41页
- 第42页
- 第43页
- 第44页
- 第45页
- 第46页
- 第47页
- 第48页
- 第49页
- 第50页
- 第51页
- 第52页
- 第53页
- 第54页
- 第55页
- 第56页
- 第57页
- 第58页
- 第59页
- 第60页
- 第61页
- 第62页
- 第63页
- 第64页
- 第65页
- 第66页
- 第67页
- 第68页
- 第69页
- 第70页
- 第71页
- 第72页
- 第73页
- 第74页
- 第75页
- 第76页
- 第77页
- 第78页
- 第79页
- 第80页
- 第81页
- 第82页
- 第83页
- 第84页
- 第85页
- 第86页
- 第87页
- 第88页
- 第89页
- 第90页
- 第91页
- 第92页
- 第93页
11. 在一个底面积是$15.7$平方厘米的玻璃杯中装入$3$厘米深的水。现把一个底面半径为$1$厘米、高$5$厘米的圆柱形铁棒垂直放入玻璃杯中,铁棒没有全部浸没在水中,水面上升了( )厘米。
答案:
0.75
12. 一块长$2.2$米的圆柱形木头,横截去$2$分米长的一小段木头后,表面积减少了$37.68$平方分米,剩下部分木头的体积是( )立方分米。
答案:
565.2
提示:2.2米 = 22分米,减少的37.68平方分米就是2分米高的圆柱的侧面积,则圆柱的底面半径为37.68÷2÷3.14÷2 = 3(分米),剩下部分木头的体积为3.14×3²×(22 - 2)= 565.2(立方分米)。
提示:2.2米 = 22分米,减少的37.68平方分米就是2分米高的圆柱的侧面积,则圆柱的底面半径为37.68÷2÷3.14÷2 = 3(分米),剩下部分木头的体积为3.14×3²×(22 - 2)= 565.2(立方分米)。
13. 新世纪幼儿园买来蓝皮球和黄皮球个数的比是$3:5$,给每个班发$8$个蓝皮球和$20$个黄皮球,结果黄皮球刚好发完,蓝皮球还剩$36$个。幼儿园买来蓝皮球( )个,黄皮球( )个。
答案:
108 180
提示:给每个班发8个蓝皮球和20个黄皮球,当黄皮球全部发完时,所发蓝皮球的个数是黄皮球的8÷20 = $\frac{2}{5}$,由于买来蓝皮球和黄皮球个数的比是3 : 5,则还剩的36个蓝皮球占黄皮球的$(\frac{3}{5}-\frac{2}{5})$,幼儿园买来黄皮球36÷$(\frac{3}{5}-\frac{2}{5})$= 180(个),买来蓝皮球180×$\frac{3}{5}$= 108(个)。
提示:给每个班发8个蓝皮球和20个黄皮球,当黄皮球全部发完时,所发蓝皮球的个数是黄皮球的8÷20 = $\frac{2}{5}$,由于买来蓝皮球和黄皮球个数的比是3 : 5,则还剩的36个蓝皮球占黄皮球的$(\frac{3}{5}-\frac{2}{5})$,幼儿园买来黄皮球36÷$(\frac{3}{5}-\frac{2}{5})$= 180(个),买来蓝皮球180×$\frac{3}{5}$= 108(个)。
1. 健身中心的游泳池长是$50$米,宽是$20$米,小东想把它画在长$3$分米、宽$2$分米的图纸上,应选用( )比例尺合适。
A. $1:50$
B. $1:500$
C. $1:5000$
D. $1:50000$
A. $1:50$
B. $1:500$
C. $1:5000$
D. $1:50000$
答案:
B
2. 一个圆柱与一个圆锥的底面积相等,体积的比是$3:2$,圆柱和圆锥的高的比是( )。
A. $1:2$
B. $1:3$
C. $2:3$
D. $3:2$
A. $1:2$
B. $1:3$
C. $2:3$
D. $3:2$
答案:
A
3. 明明和小芳分别调查了三年级和六年级当天大课间的活动情况,并制成统计图。下面说法中,有( )句是正确的。
三年级活动情况统计图 六年级活动情况统计图

①六年级跳绳的人数比拍球的人数多$13\%$
②三年级跳绳人数一定比六年级跳绳人数多
③三年级跳绳人数与玩空竹人数的比是$25:6$
A. $0$
B. $1$
C. $2$
D. $3$
三年级活动情况统计图 六年级活动情况统计图
①六年级跳绳的人数比拍球的人数多$13\%$
②三年级跳绳人数一定比六年级跳绳人数多
③三年级跳绳人数与玩空竹人数的比是$25:6$
A. $0$
B. $1$
C. $2$
D. $3$
答案:
B
4. $☆、4、6、12$这四个数可以组成比例,$☆$不可能是( )。
A. $2$
B. $3$
C. $8$
D. $18$
A. $2$
B. $3$
C. $8$
D. $18$
答案:
B
5. 一本书,每天看的页数和看的天数( );20分钟里,行驶的路程与速度( );绿豆的发芽率一定,发芽的绿豆数与不发芽的绿豆数( )。
A. 成正比例
B. 成反比例
C. 不成比例
D. 无法确定
A. 成正比例
B. 成反比例
C. 不成比例
D. 无法确定
答案:
B A A
6. 如果甲、乙是两个成反比例的量,那么当甲减少$50\%$时,乙( )。
A. 增加$\frac{2}{3}$
B. 减少$\frac{1}{3}$
C. 增加$100\%$
D. 增加$50\%$
A. 增加$\frac{2}{3}$
B. 减少$\frac{1}{3}$
C. 增加$100\%$
D. 增加$50\%$
答案:
C
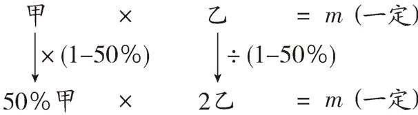
提示:如图,
甲 × 乙 = m (一定)
↓×(1 - 50%) ↓÷(1 - 50%)
50%甲 × 2乙 = m (一定)
乙要变成2乙,需要增加100%。
C
提示:如图,
甲 × 乙 = m (一定)
↓×(1 - 50%) ↓÷(1 - 50%)
50%甲 × 2乙 = m (一定)
乙要变成2乙,需要增加100%。
7. 小红、小华和小强都是集邮爱好者,小红的邮票枚数与其他两人邮票枚数和的比是$5:19$,若小强送$12$枚邮票给小红,则他们三人的邮票枚数一样多。他们一共集了( )枚邮票。
A. $96$
B. $108$
C. $120$
D. $132$
A. $96$
B. $108$
C. $120$
D. $132$
答案:
A
提示:根据题意可知,12枚邮票占三人邮票总枚数的$(\frac{1}{3}-\frac{5}{5 + 19})$,则他们一共收集的邮票有12÷$(\frac{1}{3}-\frac{5}{5 + 19})$= 96(枚)。
提示:根据题意可知,12枚邮票占三人邮票总枚数的$(\frac{1}{3}-\frac{5}{5 + 19})$,则他们一共收集的邮票有12÷$(\frac{1}{3}-\frac{5}{5 + 19})$= 96(枚)。
1. 解比例。
$x:18 = 3.2:8$ $\frac{16}{2.4}=x:0.3$
$3.5:x=\frac{1}{2}:20\%$ $18:(x - 1)=2:7$
$x:18 = 3.2:8$ $\frac{16}{2.4}=x:0.3$
$3.5:x=\frac{1}{2}:20\%$ $18:(x - 1)=2:7$
答案:
x = 7.2 x = 2 x = 1.4 x = 64
2. 求四分之一圆柱的表面积和体积。(单位:分米)

答案:
表面积:3.14×5²÷2 + 5×10×2 + 3.14×5×2×10÷4 = 217.75(平方分米)
体积:3.14×5²×10÷4 = 196.25(立方分米)
体积:3.14×5²×10÷4 = 196.25(立方分米)
查看更多完整答案,请扫码查看