19. (6 分)把下列各有理数填在相应的集合内:
$-8,0.275,\frac{22}{7},0,-104,-(-3),-\frac{1}{3},$| - 2 |.
正数集合:…{ };
负整数集合:…{ };
负有理数集合:…{ }.
$-8,0.275,\frac{22}{7},0,-104,-(-3),-\frac{1}{3},$| - 2 |.
正数集合:…{ };
负整数集合:…{ };
负有理数集合:…{ }.
答案:
正数集合:$\{ 0.275,\frac {22}{7},-(-3),|-2|,... \} ;$负整数集合:$\{ -8,-104,... \} ;$负有理数集合:$\{ -8,-104,-\frac {1}{3},... \} .$
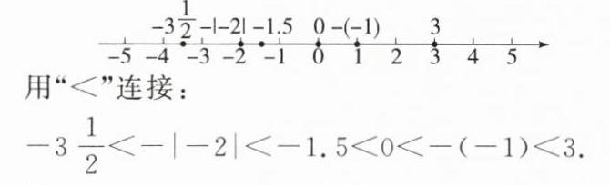
20. (9 分)画出数轴,在数轴上表示下列各数,并按从小到大的顺序用“<”把这些数连接起来.
3,-(-1),-1.5,0,-| - 2 |$,-3\frac{1}{2}.$
3,-(-1),-1.5,0,-| - 2 |$,-3\frac{1}{2}.$
答案:
解:如图

解:如图
21. (9 分)小明骑车从家出发,先向东骑行 2 千米到达 A 村,继续向东骑行 3 千米到达 B 村,然后向西骑行 9 千米到达 C 村,最后回到家.
(1)以家为原点,向东为正方向,用 1 个单位长度表示 1 千米,画出数轴,并在数轴上表示出 A,B,C 三个村的位置;
(2)C 村离 A 村有多远?
(3)小明一共骑行了多少千米?
(1)以家为原点,向东为正方向,用 1 个单位长度表示 1 千米,画出数轴,并在数轴上表示出 A,B,C 三个村的位置;
(2)C 村离 A 村有多远?
(3)小明一共骑行了多少千米?
答案:
解:
(1)略
(2)C村离 A 村6千米.
(3)$2+3+9+(9-2-3)=18$(千米).答:小明一共骑行了 18 千米.
(1)略
(2)C村离 A 村6千米.
(3)$2+3+9+(9-2-3)=18$(千米).答:小明一共骑行了 18 千米.
查看更多完整答案,请扫码查看