第17页
- 第1页
- 第2页
- 第3页
- 第4页
- 第5页
- 第6页
- 第7页
- 第8页
- 第9页
- 第10页
- 第11页
- 第12页
- 第13页
- 第14页
- 第15页
- 第16页
- 第17页
- 第18页
- 第19页
- 第20页
- 第21页
- 第22页
- 第23页
- 第24页
- 第25页
- 第26页
- 第27页
- 第28页
- 第29页
- 第30页
- 第31页
- 第32页
- 第33页
- 第34页
- 第35页
- 第36页
- 第37页
- 第38页
- 第39页
- 第40页
- 第41页
- 第42页
- 第43页
- 第44页
- 第45页
- 第46页
- 第47页
- 第48页
- 第49页
- 第50页
- 第51页
- 第52页
- 第53页
- 第54页
- 第55页
- 第56页
- 第57页
- 第58页
- 第59页
- 第60页
- 第61页
- 第62页
- 第63页
- 第64页
- 第65页
- 第66页
- 第67页
- 第68页
- 第69页
- 第70页
- 第71页
- 第72页
- 第73页
- 第74页
- 第75页
- 第76页
- 第77页
- 第78页
- 第79页
- 第80页
- 第81页
- 第82页
- 第83页
- 第84页
- 第85页
- 第86页
- 第87页
1. 右图是一个公园的平面图。

(1)大门的位置在第4列、第0行,用数对(4,0)表示。草坪的位置在第( )列、第( )行,用数对( , )表示。
(2)用数对表示樱花园、熊猫馆、喷泉的位置。
樱花园( , ) 熊猫馆( , ) 喷泉( , )
(3)在图中标出下面场馆的位置。
游乐场(8,2) 书苑(3,7) 超市(9,1)
(1)大门的位置在第4列、第0行,用数对(4,0)表示。草坪的位置在第( )列、第( )行,用数对( , )表示。
(2)用数对表示樱花园、熊猫馆、喷泉的位置。
樱花园( , ) 熊猫馆( , ) 喷泉( , )
(3)在图中标出下面场馆的位置。
游乐场(8,2) 书苑(3,7) 超市(9,1)
答案:
1.
(1)9 4 (9,4)
(2)(2,3) (7,6) (5,1)
(3)
1.
(1)9 4 (9,4)
(2)(2,3) (7,6) (5,1)
(3)
2. 河南真题 标出下列各点并依次连成封闭图形。
A(1,6) B(3,2) C(6,2) D(4,6)
连成的图形是一个( )形。

A(1,6) B(3,2) C(6,2) D(4,6)
连成的图形是一个( )形。
答案:
2.

平行四边
2.
平行四边
3. 填一填,画一画。
(1)用数对表示三角形各个顶点的位置。

A( , ) B( , ) C( , )
(2)分别画出三角形ABC向下和向右各平移5个单位后的三角形A'B'C'和三角形A''B''C''。
(3)用数对表示各个顶点的位置。
A'( , ) B'( , ) C'( , )
A''( , ) B''( , ) C''( , )
(4)观察三角形ABC平移前后各顶点数对的变化,你发现了什么?

我发现:在同一平面上,将点上下平移,( )不变;将点左右平移,( )不变。
(1)用数对表示三角形各个顶点的位置。
A( , ) B( , ) C( , )
(2)分别画出三角形ABC向下和向右各平移5个单位后的三角形A'B'C'和三角形A''B''C''。
(3)用数对表示各个顶点的位置。
A'( , ) B'( , ) C'( , )
A''( , ) B''( , ) C''( , )
(4)观察三角形ABC平移前后各顶点数对的变化,你发现了什么?
我发现:在同一平面上,将点上下平移,( )不变;将点左右平移,( )不变。
答案:
3.
(1)(3,9) (0,7) (5,5)
(2)

(3)(3,4) (0,2) (5,0)
(8,9) (5,7) (10,5)
(4)列数 行数
3.
(1)(3,9) (0,7) (5,5)
(2)
(3)(3,4) (0,2) (5,0)
(8,9) (5,7) (10,5)
(4)列数 行数
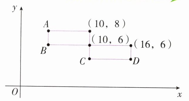
4. 右图中有两个完全相同的长方形,你能用数对表示出A、B、C、D这四个点的位置吗?

A( , ) B( , )
C( , ) D( , )
A( , ) B( , )
C( , ) D( , )
答案:
4.(4,8) (4,6) (10,4) (16,4)
查看更多完整答案,请扫码查看