第58页
- 第1页
- 第2页
- 第3页
- 第4页
- 第5页
- 第6页
- 第7页
- 第8页
- 第9页
- 第10页
- 第11页
- 第12页
- 第13页
- 第14页
- 第15页
- 第16页
- 第17页
- 第18页
- 第19页
- 第20页
- 第21页
- 第22页
- 第23页
- 第24页
- 第25页
- 第26页
- 第27页
- 第28页
- 第29页
- 第30页
- 第31页
- 第32页
- 第33页
- 第34页
- 第35页
- 第36页
- 第37页
- 第38页
- 第39页
- 第40页
- 第41页
- 第42页
- 第43页
- 第44页
- 第45页
- 第46页
- 第47页
- 第48页
- 第49页
- 第50页
- 第51页
- 第52页
- 第53页
- 第54页
- 第55页
- 第56页
- 第57页
- 第58页
- 第59页
- 第60页
- 第61页
- 第62页
- 第63页
- 第64页
- 第65页
- 第66页
- 第67页
- 第68页
- 第69页
- 第70页
- 第71页
- 第72页
- 第73页
- 第74页
- 第75页
- 第76页
- 第77页
- 第78页
- 第79页
- 第80页
- 第81页
- 第82页
- 第83页
- 第84页
- 第85页
- 第86页
- 第87页
- 第88页
- 第89页
- 第90页
- 第91页
- 第92页
- 第93页
- 第94页
- 第95页
- 第96页
- 第97页
- 第98页
- 第99页
- 第100页
- 第101页
- 第102页
- 第103页
- 第104页
- 第105页
- 第106页
- 第107页
- 第108页
- 第109页
- 第110页
- 第111页
- 第112页
- 第113页
- 第114页
- 第115页
- 第116页
- 第117页
- 第118页
- 第119页
- 第120页
- 第121页
- 第122页
- 第123页
- 第124页
- 第125页
- 第126页
- 第127页
- 第128页
- 第129页
- 第130页
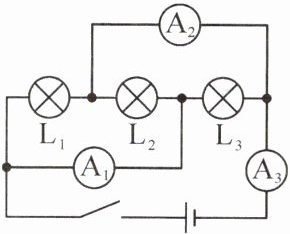
[变式题](将电压表换成电流表)如图所示电路,当开关闭合时,电流表$A_1$示数为2 A,电流表$A_2$示数为1.3 A,电流表$A_3$示数为2.5 A,则通过灯泡$L_1、$$L_2、$$L_3$的电流分别为

0.5
A、0.8
A、1.2
A。
答案:
0.5 0.8 1.2
9. 如图所示的电路中,闭合开关S,电压表$V_1$的示数为9 V,电压表$V_2$的示数为3 V,那么$R_1$两端的电压为

6
V。
答案:
6 【点拨】先判断出电路是串联电路,再根据串联电路的电压规律,求出R₁两端的电压。
10. 如图所示的电路中,若电源电压为12 V,闭合开关后,电压表$V_1$的示数为3 V,电压表$V_3$的示数为5 V,则电压表$V_2$的示数为

12
V,灯泡$L_2$两端的电压为4
V。
答案:
12 4
11. 如图所示电路,当$S_1、$$S_2$都断开时,电压表示数

小于
电源电压;当$S_1、$$S_2$都闭合时,电压表示数等于
电源电压;当$S_1$闭合$,S_2$断开时,电压表示数等于
电源电压。(均选填“大于”“小于”或“等于”)
答案:
小于 等于 等于
12. 如图所示电路中,在甲、乙两处可以分别接入电流表或电压表。当S闭合后,为使两灯串联且都能发光,则(
A.甲接电流表,乙接电压表
B.甲、乙均接电流表
C.甲、乙均接电压表
D.甲接电压表,乙接电流表
D
)A.甲接电流表,乙接电压表
B.甲、乙均接电流表
C.甲、乙均接电压表
D.甲接电压表,乙接电流表
答案:
D
13. 如图,闭合开关后两灯均能发光,则(

A.甲为电流表,乙为电压表
B.甲为电压表,乙为电流表
C.甲、乙都为电流表
D.甲、乙都为电压表
B
)A.甲为电流表,乙为电压表
B.甲为电压表,乙为电流表
C.甲、乙都为电流表
D.甲、乙都为电压表
答案:
B
14. (判定电表——串联电路)如图所示,分别在甲、乙两处接入电压表或电流表,使开关闭合后灯$L_1$与$L_2$串联,则甲、乙两处应该接入的是( )

A.甲接电压表,乙接电流表
B.甲接电流表,乙接电压表
C.甲、乙都接电压表
D.甲、乙都接电流表
[变式题](判定电表——并联电路)如图所示电路,请在三处“○”内分别填上电流表或电压表符号,使开关闭合时电路连接正确且为并联电路。

A.甲接电压表,乙接电流表
B.甲接电流表,乙接电压表
C.甲、乙都接电压表
D.甲、乙都接电流表
[变式题](判定电表——并联电路)如图所示电路,请在三处“○”内分别填上电流表或电压表符号,使开关闭合时电路连接正确且为并联电路。
答案:
C [变式题]解:如图所示:
C [变式题]解:如图所示:
15. 在如图所示电路的“○”内填上适当的电表符号。要求:当开关S闭合时,各电路元器件均能正常工作。

答案:
解:如图所示:
16. (2024·昭通期中)在如图的圆圈里填上适当的电表符号,使之成为正确的电路图。

答案:
解:如图所示:
解:如图所示:
查看更多完整答案,请扫码查看