2025年点拨训练九年级物理下册人教版河北专版
注:目前有些书本章节名称可能整理的还不是很完善,但都是按照顺序排列的,请同学们按照顺序仔细查找。练习册 2025年点拨训练九年级物理下册人教版河北专版 答案主要是用来给同学们做完题方便对答案用的,请勿直接抄袭。
第6页
- 第1页
- 第2页
- 第3页
- 第4页
- 第5页
- 第6页
- 第7页
- 第8页
- 第9页
- 第10页
- 第11页
- 第12页
- 第13页
- 第14页
- 第15页
- 第16页
- 第17页
- 第18页
- 第19页
- 第20页
- 第21页
- 第22页
- 第23页
- 第24页
- 第25页
- 第26页
- 第27页
- 第28页
- 第29页
- 第30页
- 第31页
- 第32页
- 第33页
- 第34页
- 第35页
- 第36页
- 第37页
- 第38页
- 第39页
- 第40页
- 第41页
- 第42页
- 第43页
- 第44页
- 第45页
- 第46页
- 第47页
- 第48页
- 第49页
- 第50页
- 第51页
- 第52页
- 第53页
- 第54页
- 第55页
- 第56页
- 第57页
- 第58页
- 第59页
- 第60页
- 第61页
- 第62页
- 第63页
- 第64页
- 第65页
- 第66页
- 第67页
- 第68页
- 第69页
- 第70页
- 第71页
- 第72页
- 第73页
- 第74页
- 第75页
- 第76页
- 第77页
- 第78页
- 第79页
- 第80页
1.(母题 教材P95T1变式)推广使用LED灯是“节能减排”的有效措施,李丽同学买了5只“220V 5W”的LED灯,要使这些灯正常发光,需要的供电电压为________V,且在家庭电路中应________联。
答案:
220;并
2.(跨学科 日常生活)冬天洗澡时常用到浴霸,常见的浴霸取暖灯组是由四个“220V 275W”的钨丝灯(如图)并联而成的。下列说法正确的是 ( )

A. 单个取暖灯正常工作时的功率为275W
B. 单个取暖灯的实际功率一定为275W
C. 实际电压过高时,灯泡极易损坏,应在低于220V的电压下工作
D. 当电路中电压为零时,单个取暖灯的额定功率变为零
A. 单个取暖灯正常工作时的功率为275W
B. 单个取暖灯的实际功率一定为275W
C. 实际电压过高时,灯泡极易损坏,应在低于220V的电压下工作
D. 当电路中电压为零时,单个取暖灯的额定功率变为零
答案:
A
3.某灯泡上标有“6V 3W”字样,下列说法不正确的是 ( )
A. 当它两端的电压为5V时,它的额定功率小于3W
B. 当通过它的电流为0.4A时,它的功率小于3W
C. 在不考虑温度的影响时,将它接在不同的电压下,其电阻是不变的
D. 在不考虑温度的影响时,若它两端的电压为3V,则它的功率为0.75W
A. 当它两端的电压为5V时,它的额定功率小于3W
B. 当通过它的电流为0.4A时,它的功率小于3W
C. 在不考虑温度的影响时,将它接在不同的电压下,其电阻是不变的
D. 在不考虑温度的影响时,若它两端的电压为3V,则它的功率为0.75W
答案:
A
4.某白炽灯上标有“220V 55W”字样,该灯正常发光时两端的电压是________V,通过它的电流是______A,它的电阻为______Ω,额定功率为________W。
答案:
220;0.25;880;55
5.将一个标有“6V 3W”字样的小灯泡与一个24Ω的定值电阻串联后,接在9V的电源上。不考虑温度对灯丝电阻的影响,求:
(1)小灯泡的电阻。
(2)小灯泡的实际功率。
(1)小灯泡的电阻。
(2)小灯泡的实际功率。
答案:
解:
(1)不考虑温度对灯丝电阻的影响,由$P = UI=\frac{U^{2}}{R}$可得,小灯泡的电阻$R_{L}=\frac{U_{额}^{2}}{P_{额}}=\frac{(6V)^{2}}{3W}=12\Omega$。
(2)小灯泡与一个$24\Omega$的定值电阻串联,
则电路中的总电阻$R_{总}=R_{L}+R = 12\Omega + 24\Omega = 36\Omega$,
电路中的电流$I=\frac{U}{R_{总}}=\frac{9V}{36\Omega}=0.25A$,
所以,小灯泡的实际功率$P_{实}=I^{2}R_{L}=(0.25A)^{2}\times12\Omega = 0.75W$。
(1)不考虑温度对灯丝电阻的影响,由$P = UI=\frac{U^{2}}{R}$可得,小灯泡的电阻$R_{L}=\frac{U_{额}^{2}}{P_{额}}=\frac{(6V)^{2}}{3W}=12\Omega$。
(2)小灯泡与一个$24\Omega$的定值电阻串联,
则电路中的总电阻$R_{总}=R_{L}+R = 12\Omega + 24\Omega = 36\Omega$,
电路中的电流$I=\frac{U}{R_{总}}=\frac{9V}{36\Omega}=0.25A$,
所以,小灯泡的实际功率$P_{实}=I^{2}R_{L}=(0.25A)^{2}\times12\Omega = 0.75W$。
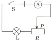
6.[2024·眉山]如图所示电路,电源电压恒定,滑动变阻器R标有“20Ω 2A”,灯泡L标有“4V 2W”,灯泡电阻不变。S闭合,滑片P在R的中点时,灯泡正常发光,则电源电压为______V。当P移到最右端时,电路的总功率______W(结果保留一位小数)。

答案:
9;2.9
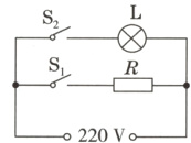
7.[2024·广东 跨学科 工程实践]某消毒柜具有高温消毒和紫外线杀菌功能,其简化电路如图所示。发热电阻R = 110Ω,紫外灯L规格为“220V 50W”。闭合开关S₁和S₂,消毒柜正常工作,求:
(1)通过R的电流。
(2)R的电功率。
(3)紫外灯L工作100s消耗的电能。

(1)通过R的电流。
(2)R的电功率。
(3)紫外灯L工作100s消耗的电能。
答案:
解:
(1)由题意可得,紫外灯L和电阻R并联在电路中,消毒柜正常,所以电路中的电源电压为220V,通过R的电流$I=\frac{U}{R}=\frac{220V}{110\Omega}=2A$。
(2)R的电功率为$P = UI = 220V\times2A = 440W$。
(3)紫外灯L两端的电压为220V,正好处于额定电压工作状态,工作100s消耗的电能$W = P_{额}t = 50W\times100s = 5000J$。
(1)由题意可得,紫外灯L和电阻R并联在电路中,消毒柜正常,所以电路中的电源电压为220V,通过R的电流$I=\frac{U}{R}=\frac{220V}{110\Omega}=2A$。
(2)R的电功率为$P = UI = 220V\times2A = 440W$。
(3)紫外灯L两端的电压为220V,正好处于额定电压工作状态,工作100s消耗的电能$W = P_{额}t = 50W\times100s = 5000J$。
查看更多完整答案,请扫码查看