2025年点拨训练九年级物理下册人教版河北专版
注:目前有些书本章节名称可能整理的还不是很完善,但都是按照顺序排列的,请同学们按照顺序仔细查找。练习册 2025年点拨训练九年级物理下册人教版河北专版 答案主要是用来给同学们做完题方便对答案用的,请勿直接抄袭。
第10页
- 第1页
- 第2页
- 第3页
- 第4页
- 第5页
- 第6页
- 第7页
- 第8页
- 第9页
- 第10页
- 第11页
- 第12页
- 第13页
- 第14页
- 第15页
- 第16页
- 第17页
- 第18页
- 第19页
- 第20页
- 第21页
- 第22页
- 第23页
- 第24页
- 第25页
- 第26页
- 第27页
- 第28页
- 第29页
- 第30页
- 第31页
- 第32页
- 第33页
- 第34页
- 第35页
- 第36页
- 第37页
- 第38页
- 第39页
- 第40页
- 第41页
- 第42页
- 第43页
- 第44页
- 第45页
- 第46页
- 第47页
- 第48页
- 第49页
- 第50页
- 第51页
- 第52页
- 第53页
- 第54页
- 第55页
- 第56页
- 第57页
- 第58页
- 第59页
- 第60页
- 第61页
- 第62页
- 第63页
- 第64页
- 第65页
- 第66页
- 第67页
- 第68页
- 第69页
- 第70页
- 第71页
- 第72页
- 第73页
- 第74页
- 第75页
- 第76页
- 第77页
- 第78页
- 第79页
- 第80页
1.“伏安法测电阻”和“伏安法测小灯泡的电功率”是电学中两个重要的实验,小聪同学对这两个实验进行了梳理和对比,下列说法正确的是( )
A.两个实验的原理相同
B.滑动变阻器在两个实验中的作用仅是保护电路
C.两个实验进行多次测量的目的不同
D.两个实验都采用了控制变量法
A.两个实验的原理相同
B.滑动变阻器在两个实验中的作用仅是保护电路
C.两个实验进行多次测量的目的不同
D.两个实验都采用了控制变量法
答案:
C
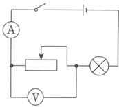
2.某学校的物理实验室新进了一批小灯泡,其规格为“2.5 V 0.75 W”,小明想随机抽取一个小灯泡通过实验探究该小灯泡的额定功率是否符合规格。
(1)根据图甲所示的电路,用笔画线代替导线,把图乙所示的实物电路补充完整。闭合开关S后,当滑片P向左滑动时,电压表的示数________(填“变大”“变小”或“不变”)。
(2)小明完成实验后,根据实验数据作出I - U图象如图丙所示,由图象可得小灯泡的额定功率为________W,该小灯泡________(填“符合”或“不符合”)制造规格。
(3)由I - U图象可知,当小灯泡两端电压为1 V时,它的电阻为________Ω;进一步分析图象可得,小灯泡的电阻随两端电压的升高而________(填“增大”“减小”或“不变”)。
(4)若当滑片P向左滑动时,小灯泡突然熄灭,电流表无示数,电压表示数较大,则出现的故障可能是________。
(1)根据图甲所示的电路,用笔画线代替导线,把图乙所示的实物电路补充完整。闭合开关S后,当滑片P向左滑动时,电压表的示数________(填“变大”“变小”或“不变”)。
(2)小明完成实验后,根据实验数据作出I - U图象如图丙所示,由图象可得小灯泡的额定功率为________W,该小灯泡________(填“符合”或“不符合”)制造规格。
(3)由I - U图象可知,当小灯泡两端电压为1 V时,它的电阻为________Ω;进一步分析图象可得,小灯泡的电阻随两端电压的升高而________(填“增大”“减小”或“不变”)。
(4)若当滑片P向左滑动时,小灯泡突然熄灭,电流表无示数,电压表示数较大,则出现的故障可能是________。
答案:
(1)如图所示;变大

(2)0.75;符合
(3)5;增大
(4)小灯泡断路
(1)如图所示;变大
(2)0.75;符合
(3)5;增大
(4)小灯泡断路
3.“圆梦”学习小组进行“测量小灯泡的电功率”实验,已知小灯泡的额定电压为2.5 V。
(1)请你用笔画线代替导线,将图甲中的实物电路连接完整,导线不得交叉。
(2)正确连接电路后,闭合开关,电流表的指针不动。但用手按住开关,电流表的指针出现摆动,出现这种现象的原因是________________________。
(3)排除故障后,闭合开关,移动滑动变阻器滑片,当小灯泡正常发光时,电流表的示数如图乙所示,则小灯泡的额定功率是________W。
(4)该小组的同学在实验中又测出了几组数据,请你帮他们设计一个实验记录表格。
(1)请你用笔画线代替导线,将图甲中的实物电路连接完整,导线不得交叉。
(2)正确连接电路后,闭合开关,电流表的指针不动。但用手按住开关,电流表的指针出现摆动,出现这种现象的原因是________________________。
(3)排除故障后,闭合开关,移动滑动变阻器滑片,当小灯泡正常发光时,电流表的示数如图乙所示,则小灯泡的额定功率是________W。
(4)该小组的同学在实验中又测出了几组数据,请你帮他们设计一个实验记录表格。
答案:
(1)如图所示:(接法不唯一)

(2)开关接触不良
(3)0.7
(4)如表所示:(合理即可)

(1)如图所示:(接法不唯一)
(2)开关接触不良
(3)0.7
(4)如表所示:(合理即可)
4.(母题 教材P98T2变式)小明同学在进行“测量小灯泡的额定功率”的实验中,准备的器材有电源(电压恒为6 V),开关,电压表、电流表各一个,导线若干,额定电压为3.8 V的待测小灯泡(电阻约为12 Ω),滑动变阻器两个(A的规格为“5 Ω 2 A”,B的规格为“20 Ω 0.5 A”)。
(1)实验中,小明同学应选用的滑动变阻器是________(填“A”或“B”)。
(2)图甲是小明同学连接的实物电路,有一根导线连接错误,请你用“×”标出这根接错的导线,然后改接一根导线使电路正确。
(3)小明同学确认电路连接无误后闭合开关,无论怎样移动滑动变阻器的滑片,小灯泡始终不发光,且电压表的示数接近电源电压,则电路的故障可能是小灯泡________。
(4)排除故障后,小明同学再次移动滑动变阻器的滑片,绘制出了小灯泡的U - I的图象,如图乙所示。则该小灯泡的额定功率为________W。
(5)小明同学测出小灯泡额定功率后,又把小灯泡两端的电压调为额定电压的$\frac{2}{3}$,则测得的实际功率$P_{实际}$________$\frac{4}{9}P_{额定}$。若该小灯泡的实际电压是额定电压一半时的电功率为$P_{1}$,小灯泡的实际电流是额定电流一半时的电功率为$P_{2}$,则$P_{1}$________$P_{2}$。(均填“大于”“小于”或“等于”)
(6)小明同学做实验时,发现电压表“0~15 V”量程已经损坏,“0~3 V”量程还可以正常使用,在不添加器材的情况下,为了测出该小灯泡的额定功率,请你在图丙中的虚线框内画出正确的电路图。
(1)实验中,小明同学应选用的滑动变阻器是________(填“A”或“B”)。
(2)图甲是小明同学连接的实物电路,有一根导线连接错误,请你用“×”标出这根接错的导线,然后改接一根导线使电路正确。
(3)小明同学确认电路连接无误后闭合开关,无论怎样移动滑动变阻器的滑片,小灯泡始终不发光,且电压表的示数接近电源电压,则电路的故障可能是小灯泡________。
(4)排除故障后,小明同学再次移动滑动变阻器的滑片,绘制出了小灯泡的U - I的图象,如图乙所示。则该小灯泡的额定功率为________W。
(5)小明同学测出小灯泡额定功率后,又把小灯泡两端的电压调为额定电压的$\frac{2}{3}$,则测得的实际功率$P_{实际}$________$\frac{4}{9}P_{额定}$。若该小灯泡的实际电压是额定电压一半时的电功率为$P_{1}$,小灯泡的实际电流是额定电流一半时的电功率为$P_{2}$,则$P_{1}$________$P_{2}$。(均填“大于”“小于”或“等于”)
(6)小明同学做实验时,发现电压表“0~15 V”量程已经损坏,“0~3 V”量程还可以正常使用,在不添加器材的情况下,为了测出该小灯泡的额定功率,请你在图丙中的虚线框内画出正确的电路图。
答案:
(1)B
(2)如图所示:

(3)断路
(4)1.14
(5)大于;大于
(6)如图所示:

点拨:
(1)额定电压为3.8 V的待测小灯泡(电阻约为12 Ω),由欧姆定律可得,小灯泡的额定电流约为:$I_{L}=\frac{U_{L}}{R_{L}}=\frac{3.8 V}{12 Ω}\approx0.32 A<0.5 A$,串联电路电流$I = I_{L}=0.32 A$,小灯泡正常发光时滑动变阻器连入电路中的电阻约为:$R_{滑}=\frac{U - U_{L}}{I}=\frac{6 V - 3.8 V}{0.32 A}\approx6.9 Ω$,故应选用的滑动变阻器是B。
(2)应将电流表与小灯泡串联,电压表与小灯泡并联。
(3)电路连接无误,无论怎样移动滑动变阻器的滑片,小灯泡始终不发光,且电压表的示数接近电源电压,则电路的故障可能是小灯泡断路。
(4)由题图乙可知,小灯泡在额定电压下的电流为0.3 A,则该小灯泡的额定功率$P_{额}=3.8 V×0.3 A = 1.14 W$。
(5)若小灯泡的电阻不变,当实际电压为额定电压的$\frac{2}{3}$时,根据$P=\frac{U^{2}}{R}$可知,小灯泡的实际功率等于额定功率的$\frac{4}{9}$;由题图乙可知,小灯泡的电阻随温度升高而增大,所以小灯泡两端的电压减小时,小灯泡的电阻也减小,则当实际电压为额定电压的$\frac{2}{3}$时,根据$P=\frac{U^{2}}{R}$可知,此时小灯泡的实际功率大于额定功率的$\frac{4}{9}$,即$P_{实际}>\frac{4}{9}P_{额}$。由题图乙知,小灯泡的实际电压是额定电压一半(1.9 V)时对应的电流约为0.2 A,电功率$P_{1}=1.9 V×0.2 A = 0.38 W$;小灯泡的实际电流是额定电流一半(0.15 A)时对应的电压为1 V,小灯泡的实际电功率$P_{2}=1 V×0.15 A = 0.15 W$,则$P_{1}$大于$P_{2}$。
(6)根据串联电路电压的规律,当滑动变阻器两端的电压$U_{滑}=6 V - 3.8 V = 2.2 V$时,小灯泡两端的电压为3.8 V,故可将电压表并联在滑动变阻器的两端。
(1)B
(2)如图所示:
(3)断路
(4)1.14
(5)大于;大于
(6)如图所示:
点拨:
(1)额定电压为3.8 V的待测小灯泡(电阻约为12 Ω),由欧姆定律可得,小灯泡的额定电流约为:$I_{L}=\frac{U_{L}}{R_{L}}=\frac{3.8 V}{12 Ω}\approx0.32 A<0.5 A$,串联电路电流$I = I_{L}=0.32 A$,小灯泡正常发光时滑动变阻器连入电路中的电阻约为:$R_{滑}=\frac{U - U_{L}}{I}=\frac{6 V - 3.8 V}{0.32 A}\approx6.9 Ω$,故应选用的滑动变阻器是B。
(2)应将电流表与小灯泡串联,电压表与小灯泡并联。
(3)电路连接无误,无论怎样移动滑动变阻器的滑片,小灯泡始终不发光,且电压表的示数接近电源电压,则电路的故障可能是小灯泡断路。
(4)由题图乙可知,小灯泡在额定电压下的电流为0.3 A,则该小灯泡的额定功率$P_{额}=3.8 V×0.3 A = 1.14 W$。
(5)若小灯泡的电阻不变,当实际电压为额定电压的$\frac{2}{3}$时,根据$P=\frac{U^{2}}{R}$可知,小灯泡的实际功率等于额定功率的$\frac{4}{9}$;由题图乙可知,小灯泡的电阻随温度升高而增大,所以小灯泡两端的电压减小时,小灯泡的电阻也减小,则当实际电压为额定电压的$\frac{2}{3}$时,根据$P=\frac{U^{2}}{R}$可知,此时小灯泡的实际功率大于额定功率的$\frac{4}{9}$,即$P_{实际}>\frac{4}{9}P_{额}$。由题图乙知,小灯泡的实际电压是额定电压一半(1.9 V)时对应的电流约为0.2 A,电功率$P_{1}=1.9 V×0.2 A = 0.38 W$;小灯泡的实际电流是额定电流一半(0.15 A)时对应的电压为1 V,小灯泡的实际电功率$P_{2}=1 V×0.15 A = 0.15 W$,则$P_{1}$大于$P_{2}$。
(6)根据串联电路电压的规律,当滑动变阻器两端的电压$U_{滑}=6 V - 3.8 V = 2.2 V$时,小灯泡两端的电压为3.8 V,故可将电压表并联在滑动变阻器的两端。
查看更多完整答案,请扫码查看