程序框图、数值转换器等程序类计算题本质上就是
求代数式的值
.按照程序框图列代数式一般遵循先设计先算
的原则.
答案:
求代数式的值 先设计先算
1. 按如图所示的运算程序,若$a= 3,b= 2$,则输出结果 y 为 (
A.9
B.11
C.17
D.19
A
)A.9
B.11
C.17
D.19
答案:
A
2. 按照如图所示的运算程序,若输入 x,则输出的代数式为
3x² -5
.
答案:
3x² -5
3. 已知如图所示的运算流程.

(1)若输入的数$x= -4$,则输出的数$y= $
(2)若输出的数$y= 5$,则输入的数$x= $
(1)若输入的数$x= -4$,则输出的数$y= $
2.5
;(2)若输出的数$y= 5$,则输入的数$x= $
-9 或 19
.
答案:
(1)2.5
(2)-9 或 19
(1)2.5
(2)-9 或 19
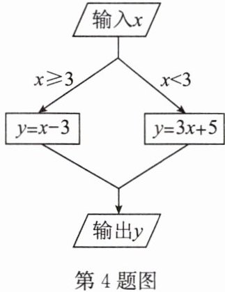
4. 如图是一个计算程序,当输入 x 的值为

1 或 11
时,输出的$y= 8$.
答案:
1 或 11
查看更多完整答案,请扫码查看