第45页
- 第1页
- 第2页
- 第3页
- 第4页
- 第5页
- 第6页
- 第7页
- 第8页
- 第9页
- 第10页
- 第11页
- 第12页
- 第13页
- 第14页
- 第15页
- 第16页
- 第17页
- 第18页
- 第19页
- 第20页
- 第21页
- 第22页
- 第23页
- 第24页
- 第25页
- 第26页
- 第27页
- 第28页
- 第29页
- 第30页
- 第31页
- 第32页
- 第33页
- 第34页
- 第35页
- 第36页
- 第37页
- 第38页
- 第39页
- 第40页
- 第41页
- 第42页
- 第43页
- 第44页
- 第45页
- 第46页
- 第47页
- 第48页
- 第49页
- 第50页
- 第51页
- 第52页
- 第53页
- 第54页
- 第55页
- 第56页
- 第57页
- 第58页
- 第59页
- 第60页
- 第61页
- 第62页
- 第63页
- 第64页
- 第65页
- 第66页
- 第67页
- 第68页
- 第69页
- 第70页
- 第71页
- 第72页
- 第73页
- 第74页
- 第75页
- 第76页
- 第77页
- 第78页
- 第79页
- 第80页
- 第81页
- 第82页
- 第83页
- 第84页
- 第85页
- 第86页
- 第87页
- 第88页
- 第89页
- 第90页
- 第91页
- 第92页
- 第93页
- 第94页
- 第95页
- 第96页
- 第97页
- 第98页
- 第99页
- 第100页
- 第101页
- 第102页
- 第103页
- 第104页
- 第105页
10 [2025南通期末]当$x= -2$时,代数式$ax^{3}+bx+4$的值为-2016,则当$x= 2$时,代数式$ax^{3}+bx+5$的值等于(
A.2025
B.2024
C.-2025
D.-2024
A
)A.2025
B.2024
C.-2025
D.-2024
答案:
A 当x=-2时,代数式ax³+bx+4的值为-2016,所以-8a-2b+4=-2016,整理,得8a+2b=2020.当x=2时,ax³+bx+5=8a+2b+5=2020+5=2025.
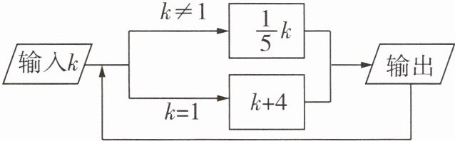
11 [2024徐州期中]如图是一个运算程序示意图。若第一次输入k的值为125,则第2025次输出的结果是____.

1
答案:
1 当x=125时,($\frac{1}{5}$)x=25;当x=25时,($\frac{1}{5}$)x=5;当x=5时,($\frac{1}{5}$)x=1;当x=1时,x+4=5;当x=5时,($\frac{1}{5}$)x=1;…由此可知,从第2次输出开始,输出结果是按"5,1"的顺序循环出现的,(2025-1)÷2=1012,即第2025次输出的结果是1.
12 [2025徐州新沂期中]若$a_{6}(x-1)^{6}+a_{5}(x-1)^{5}+a_{4}(x-1)^{4}+a_{3}(x-1)^{3}+a_{2}(x-1)^{2}+a_{1}(x-1)+a_{0}= 4x$,则$a_{6}+a_{4}+a_{2}+a_{0}=$
4
.
答案:
4 因为a₆(x-1)⁶+a₅(x-1)⁵+a₄(x-1)⁴+a₃(x-1)³+a₂(x-1)²+a₁(x-1)+a₀=4x,所以当x=2时,a₆+a₅+a₄+a₃+a₂+a₁+a₀=4×2=8 ①.因为a₆(x-1)⁶+a₅(x-1)⁵+a₄(x-1)⁴+a₃(x-1)³+a₂(x-1)²+a₁(x-1)+a₀=4x,所以当x=0时,a₆-a₅+a₄-a₃+a₂-a₁+a₀=4×0=0 ②.①+②,得2a₆+2a₄+2a₂+2a₀=8,所以a₆+a₄+a₂+a₀=4.
13 教材P80探究变式 根据下表,回答问题:
|x|…|-2|-1|0|1|2|…|
|$-2x+5$|…|9|7|5|3|a|…|
|$2x+8$|…|4|6|8|10|b|…|
【初步感知】
(1)$a=$
【归纳规律】
(2)随着x的值的变化,两个代数式的值的变化规律是什么?
【问题解决】
(3)小明通过计算发现,当$x= -\frac {3}{4}$时,代数式$-2x+5与2x+8$的值相等。受小明的启发,你能比较代数式$-2x+5与2x+8$的大小吗?
(4)请写出一个含x的代数式,要求x的值每增加1,代数式的值减少5,当$x= 0$时,代数式的值为-7.
|x|…|-2|-1|0|1|2|…|
|$-2x+5$|…|9|7|5|3|a|…|
|$2x+8$|…|4|6|8|10|b|…|
【初步感知】
(1)$a=$
1
;$b=$12
.【归纳规律】
(2)随着x的值的变化,两个代数式的值的变化规律是什么?
x每增加1,-2x+5的值减少2,2x+8的值增加2.
【问题解决】
(3)小明通过计算发现,当$x= -\frac {3}{4}$时,代数式$-2x+5与2x+8$的值相等。受小明的启发,你能比较代数式$-2x+5与2x+8$的大小吗?
当x=$\frac{-3}{4}$时,-2x+5=2x+8;当x<$\frac{-3}{4}$时,-2x+5>2x+8;当x>$\frac{-3}{4}$时,-2x+5<2x+8.
(4)请写出一个含x的代数式,要求x的值每增加1,代数式的值减少5,当$x= 0$时,代数式的值为-7.
-5x-7
答案:
解:
(1)1 12
(2)x每增加1,-2x+5的值减少2,2x+8的值增加2.
(3)当x=$\frac{-3}{4}$时,-2x+5=2x+8;当x<$\frac{-3}{4}$时,-2x+5>2x+8;当x>$\frac{-3}{4}$时,-2x+5<2x+8.
(4)-5x-7.
(1)1 12
(2)x每增加1,-2x+5的值减少2,2x+8的值增加2.
(3)当x=$\frac{-3}{4}$时,-2x+5=2x+8;当x<$\frac{-3}{4}$时,-2x+5>2x+8;当x>$\frac{-3}{4}$时,-2x+5<2x+8.
(4)-5x-7.
14 应用意识 (1)在下列横线上分别用含a,b的代数式表示图1,图2,图3,图4的面积。
图1:
(2)通过拼图,你发现前三个图形的面积与第四个图形的面积有什么关系?并用数学式子表示。
(3)利用(2)的结论计算$99^{2}+198+1$的值。
图1:
b²
. 图2:a²
. 图3:2ab
. 图4:(a+b)²
.(2)通过拼图,你发现前三个图形的面积与第四个图形的面积有什么关系?并用数学式子表示。
通过拼图发现,前三个图形的面积之和等于第四个图形的面积,即a²+2ab+b²=(a+b)².
(3)利用(2)的结论计算$99^{2}+198+1$的值。
99²+198+1=99²+2×99×1+1²=(99+1)²=100²=10000.
答案:
解:
(1)b² a² 2ab (a+b)²
(2)通过拼图发现,前三个图形的面积之和等于第四个图形的面积,即a²+2ab+b²=(a+b)².
(3)99²+198+1=99²+2×99×1+1²=(99+1)²=100²=10000.
(1)b² a² 2ab (a+b)²
(2)通过拼图发现,前三个图形的面积之和等于第四个图形的面积,即a²+2ab+b²=(a+b)².
(3)99²+198+1=99²+2×99×1+1²=(99+1)²=100²=10000.
查看更多完整答案,请扫码查看