第7页
- 第1页
- 第2页
- 第3页
- 第4页
- 第5页
- 第6页
- 第7页
- 第8页
- 第9页
- 第10页
- 第11页
- 第12页
- 第13页
- 第14页
- 第15页
- 第16页
- 第17页
- 第18页
- 第19页
- 第20页
- 第21页
- 第22页
- 第23页
- 第24页
- 第25页
- 第26页
- 第27页
- 第28页
- 第29页
- 第30页
- 第31页
- 第32页
- 第33页
- 第34页
- 第35页
- 第36页
- 第37页
- 第38页
- 第39页
- 第40页
- 第41页
- 第42页
- 第43页
- 第44页
- 第45页
- 第46页
- 第47页
- 第48页
- 第49页
- 第50页
- 第51页
- 第52页
- 第53页
- 第54页
- 第55页
- 第56页
- 第57页
- 第58页
- 第59页
- 第60页
- 第61页
- 第62页
- 第63页
- 第64页
- 第65页
- 第66页
1. 为什么用测交的方法能证明F₁产生配子的类型及其比例?如何根据测交后代的性状表现确定待测亲本的遗传因子组成?
答案:
提示 因为隐性个体所产生的配子中的遗传因子为隐性,它对F₁产生的配子所决定的性状没有影响,所以测交后代的性状表现及其比例取决于F₁产生配子的类型及其比例。若测交后代全部表现为显性性状,则待测亲本为显性纯合子;若测交后代全部表现为隐性性状,则待测亲本为隐性纯合子;若测交后代表现为显性性状∶隐性性状接近1∶1,则待测亲本为杂合子。
2. 结合教科书中有关自交、测交、杂交的知识,完成下表。

答案:
测交 杂交、自交 自交 测交、自交
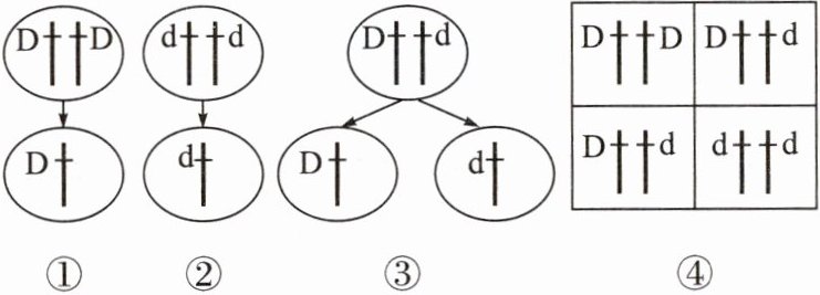
3. 请观察下列图示,思考并回答下列问题。
(1)能正确表示分离定律实质的图示是①~④中的哪一幅?其具体内容是什么?
(2)写出分离定律的适用范围。

(1)能正确表示分离定律实质的图示是①~④中的哪一幅?其具体内容是什么?
(2)写出分离定律的适用范围。
答案:
(1)提示 图③,其内容是控制相对性状的遗传因子在形成配子时彼此分离。
(2)提示 真核生物进行有性生殖时细胞核中的遗传因子的遗传。
(1)提示 图③,其内容是控制相对性状的遗传因子在形成配子时彼此分离。
(2)提示 真核生物进行有性生殖时细胞核中的遗传因子的遗传。
查看更多完整答案,请扫码查看