第43页
- 第1页
- 第2页
- 第3页
- 第4页
- 第5页
- 第6页
- 第7页
- 第8页
- 第9页
- 第10页
- 第11页
- 第12页
- 第13页
- 第14页
- 第15页
- 第16页
- 第17页
- 第18页
- 第19页
- 第20页
- 第21页
- 第22页
- 第23页
- 第24页
- 第25页
- 第26页
- 第27页
- 第28页
- 第29页
- 第30页
- 第31页
- 第32页
- 第33页
- 第34页
- 第35页
- 第36页
- 第37页
- 第38页
- 第39页
- 第40页
- 第41页
- 第42页
- 第43页
- 第44页
- 第45页
- 第46页
- 第47页
- 第48页
- 第49页
- 第50页
- 第51页
- 第52页
- 第53页
- 第54页
- 第55页
- 第56页
- 第57页
- 第58页
- 第59页
- 第60页
- 第61页
- 第62页
- 第63页
- 第64页
- 第65页
- 第66页
3. 生物多样性与DNA多样性的关系
DNA的多样性和特异性是生物体多样性和特异性的________________。

DNA的多样性和特异性是生物体多样性和特异性的________________。
答案:
物质基础
4. 有些病毒的遗传物质是RNA,如人类免疫缺陷病毒、流感病毒等。对这类病毒而言,基因就是有遗传效应的______片段。

答案:
RNA
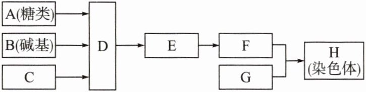
根据下图回答下列问题。

(1)图中A、C、G分别是______________________________。
(2)D、E、F、H之间有什么数量关系?
(3)生物体内所有基因的碱基总数与DNA分子的碱基总数相同吗?
(4)真核生物中,H是F的唯一载体吗?
(1)图中A、C、G分别是______________________________。
(2)D、E、F、H之间有什么数量关系?
(3)生物体内所有基因的碱基总数与DNA分子的碱基总数相同吗?
(4)真核生物中,H是F的唯一载体吗?
答案:
(1)答案 脱氧核糖 磷酸 蛋白质
(2)提示 每一条H(染色体)上有一个或者两个F(DNA)分子;每个F(DNA)分子上有许多个E(基因);每个E(基因)含有许多个D(脱氧核苷酸)。
(3)提示 不相同。生物体内所有基因的碱基总数小于DNA分子的碱基总数。
(4)提示 不是,染色体是DNA的主要载体,叶绿体和线粒体也是DNA的载体。
(1)答案 脱氧核糖 磷酸 蛋白质
(2)提示 每一条H(染色体)上有一个或者两个F(DNA)分子;每个F(DNA)分子上有许多个E(基因);每个E(基因)含有许多个D(脱氧核苷酸)。
(3)提示 不相同。生物体内所有基因的碱基总数小于DNA分子的碱基总数。
(4)提示 不是,染色体是DNA的主要载体,叶绿体和线粒体也是DNA的载体。
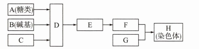
典型例题
下图表示染色体、DNA、基因三者之间的关系。下列关于三者之间关系的叙述,错误的是( )

A. 三者行为一致
B. 染色体的任一片段均可称作基因
C. DNA分子上含有许多个基因
D. 在生物的细胞核遗传中,染色体的行为决定着DNA和基因的行为
下图表示染色体、DNA、基因三者之间的关系。下列关于三者之间关系的叙述,错误的是( )
A. 三者行为一致
B. 染色体的任一片段均可称作基因
C. DNA分子上含有许多个基因
D. 在生物的细胞核遗传中,染色体的行为决定着DNA和基因的行为
答案:
B 基因通常是具有遗传效应的DNA片段。
查看更多完整答案,请扫码查看