2025年53精准练八年级数学下册华师大版山西专版
注:目前有些书本章节名称可能整理的还不是很完善,但都是按照顺序排列的,请同学们按照顺序仔细查找。练习册 2025年53精准练八年级数学下册华师大版山西专版 答案主要是用来给同学们做完题方便对答案用的,请勿直接抄袭。
第27页
- 第1页
- 第2页
- 第3页
- 第4页
- 第5页
- 第6页
- 第7页
- 第8页
- 第9页
- 第10页
- 第11页
- 第12页
- 第13页
- 第14页
- 第15页
- 第16页
- 第17页
- 第18页
- 第19页
- 第20页
- 第21页
- 第22页
- 第23页
- 第24页
- 第25页
- 第26页
- 第27页
- 第28页
- 第29页
- 第30页
- 第31页
- 第32页
- 第33页
- 第34页
- 第35页
- 第36页
- 第37页
- 第38页
- 第39页
- 第40页
- 第41页
- 第42页
- 第43页
- 第44页
- 第45页
- 第46页
- 第47页
- 第48页
- 第49页
- 第50页
- 第51页
- 第52页
- 第53页
- 第54页
- 第55页
- 第56页
- 第57页
- 第58页
- 第59页
- 第60页
- 第61页
- 第62页
- 第63页
- 第64页
- 第65页
- 第66页
- 第67页
- 第68页
- 第69页
- 第70页
- 第71页
- 第72页
- 第73页
- 第74页
- 第75页
- 第76页
- 第77页
- 第78页
- 第79页
- 第80页
1. 水中涟漪(圆形水波)不断扩大,记它的半径为r,则圆周长C与r的关系式为$C = 2\pi r$. 下列判断正确的是( )
A. 2是变量
B. $\pi$是变量
C. r是变量
D. C是常量
A. 2是变量
B. $\pi$是变量
C. r是变量
D. C是常量
答案:
C
2. [2024深圳龙岗区期中]小文去水果店买西瓜,如图是称西瓜所用的电子秤显示屏上的数据,则其中的变量是( )
|48|金额/元|
|12|质量/kg|
|4|单价/元|
A. 金额
B. 质量
C. 单价
D. 金额和质量
|48|金额/元|
|12|质量/kg|
|4|单价/元|
A. 金额
B. 质量
C. 单价
D. 金额和质量
答案:
D
3. 一盛满30吨水的水箱,每小时流出0.5吨水,流水时间t(小时)与水箱中的剩余水量y(吨)的关系式为$y = 30 - 0.5t$,其中的变量是________,常量是________.
答案:
$y,t;30,0.5$
4. [2024桂林期末]下列各关系式中,y不是x的函数的是( )
A. $|y| = x$
B. $y = \frac{1}{2}x$
C. $y = 3x + 1$
D. $y = \frac{6}{x}$
A. $|y| = x$
B. $y = \frac{1}{2}x$
C. $y = 3x + 1$
D. $y = \frac{6}{x}$
答案:
A
5. [2024郑州模拟]谚语“冰冻三尺非一日之寒”体现了冰的厚度随时间变化的过程,在该变化过程中,因变量是____________________.
答案:
冰的厚度
6. 在一定条件下,若物体运动的路程s(米)与时间t(秒)的关系式为$s = 5t^{2} + 2t$,则当$t = 4$时,该物体所经过的路程为________.
答案:
88米
7. 变量x与y之间的函数关系是$y = \frac{1}{2}x^{2} - 1$,则自变量$x = -2$时的函数值为________.
答案:
1
8. 如图,有一个球形容器,小海在往容器里注水的过程中发现,水面的高度h、水面的面积S及注水量V是三个变量. 下列有四种说法:①S是V的函数;②V是S的函数;③h是S的函数;④S是h的函数. 其中所有正确结论的序号是( )

A. ①③
B. ①④
C. ②③
D. ②④
A. ①③
B. ①④
C. ②③
D. ②④
答案:
B
9. 关于变量x,y有如下关系式:①$x - y = 5$;②$y^{2} = 2x$;③$y = |x|$;④$y = \frac{3}{x}$. 其中y是x的函数的是( )
A. ①②③
B. ①②③④
C. ①③
D. ①③④
A. ①②③
B. ①②③④
C. ①③
D. ①③④
答案:
D
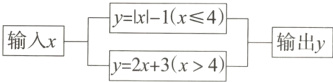
10. 如图是一个运算程序示意图,若开始输入x的值为3,则输出y的值为________.
答案:
2
11. 某品牌的自行车链条每节长为2.5 cm,每两节链条相连部分重叠的圆的直径为0.8 cm,按照这种连接方式,n节链条总长度为y cm,且y与n的关系式为$y = 1.7n + 0.8$. 当$n = 20$时,链条的总长度是多少?
答案:
解:当$n = 20$时,
$y = 1.7×20 + 0.8 = 34.8$,
$\therefore$当$n = 20$时,
链条的总长度为34.8 cm.
$y = 1.7×20 + 0.8 = 34.8$,
$\therefore$当$n = 20$时,
链条的总长度为34.8 cm.
查看更多完整答案,请扫码查看