2025年53精准练八年级数学下册华师大版山西专版
注:目前有些书本章节名称可能整理的还不是很完善,但都是按照顺序排列的,请同学们按照顺序仔细查找。练习册 2025年53精准练八年级数学下册华师大版山西专版 答案主要是用来给同学们做完题方便对答案用的,请勿直接抄袭。
第12页
- 第1页
- 第2页
- 第3页
- 第4页
- 第5页
- 第6页
- 第7页
- 第8页
- 第9页
- 第10页
- 第11页
- 第12页
- 第13页
- 第14页
- 第15页
- 第16页
- 第17页
- 第18页
- 第19页
- 第20页
- 第21页
- 第22页
- 第23页
- 第24页
- 第25页
- 第26页
- 第27页
- 第28页
- 第29页
- 第30页
- 第31页
- 第32页
- 第33页
- 第34页
- 第35页
- 第36页
- 第37页
- 第38页
- 第39页
- 第40页
- 第41页
- 第42页
- 第43页
- 第44页
- 第45页
- 第46页
- 第47页
- 第48页
- 第49页
- 第50页
- 第51页
- 第52页
- 第53页
- 第54页
- 第55页
- 第56页
- 第57页
- 第58页
- 第59页
- 第60页
- 第61页
- 第62页
- 第63页
- 第64页
- 第65页
- 第66页
- 第67页
- 第68页
- 第69页
- 第70页
- 第71页
- 第72页
- 第73页
- 第74页
- 第75页
- 第76页
- 第77页
- 第78页
- 第79页
- 第80页
1. 化简$(\frac{x}{y}-\frac{y}{x})\div\frac{x - y}{x}$的结果是 ( )
A. $\frac{1}{y}$
B. $\frac{x + y}{y}$
C. $\frac{x - y}{y}$
D. $y$
A. $\frac{1}{y}$
B. $\frac{x + y}{y}$
C. $\frac{x - y}{y}$
D. $y$
答案:
B
2. 计算$(a-\frac{1}{b})\div(\frac{1}{a}-b)$的结果是 ( )
A. $-\frac{a}{b}$
B. $\frac{a}{b}$
C. $-\frac{b}{a}$
D. $\frac{b}{a}$
A. $-\frac{a}{b}$
B. $\frac{a}{b}$
C. $-\frac{b}{a}$
D. $\frac{b}{a}$
答案:
A
3. [2024珠海一模]化简$\frac{1}{a - 1}\cdot\frac{a^{2}-2a + 1}{a}+\frac{1}{a}$的结果是 ( )
A. $0$
B. $1$
C. $a$
D. $a - 1$
A. $0$
B. $1$
C. $a$
D. $a - 1$
答案:
B
4. [2024安徽三模]化简$(\frac{1}{1 - x}-\frac{1}{x + 1})\div\frac{x}{x - 1}$的结果是 ( )
A. $\frac{2}{x + 1}$
B. $-\frac{2}{x + 1}$
C. $\frac{2}{x - 1}$
D. $-\frac{2}{x - 1}$
A. $\frac{2}{x + 1}$
B. $-\frac{2}{x + 1}$
C. $\frac{2}{x - 1}$
D. $-\frac{2}{x - 1}$
答案:
B
5. [2024泰安岱岳区一模]若$\frac{x^{2}}{x - 1}\square\frac{x}{x - 1}$的运算结果为$x$,则“$\square$”表示的运算符号为 ( )
A. $+$
B. $-$
C. $+$或$\times$
D. $-$或$\div$
A. $+$
B. $-$
C. $+$或$\times$
D. $-$或$\div$
答案:
D
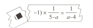
$6. [2024$大同期末$]$如图所示,小敏同学不小心将分式运算的作业纸撕坏了一角,若已知该运算正确,则$ $$ $撕坏的部分中$“■”$代表的是$ ( )$

A. $\frac{1}{4 - a}$
B. $\frac{9 - 2a}{a - 4}$
C. $\frac{1}{a - 4}$
D. $\frac{2a - 9}{a - 4}$
A. $\frac{1}{4 - a}$
B. $\frac{9 - 2a}{a - 4}$
C. $\frac{1}{a - 4}$
D. $\frac{2a - 9}{a - 4}$
答案:
C
7. [2024武汉模拟]已知实数$a,b,c$满足$a + b = ab = c$,有下列结论:
①若$c\neq0$,则$\frac{2a - 3ab + 2b}{5a + 7ab + 5b}=-\frac{1}{12}$;
②若$a = 3$,则$b + c = 6$;
③若$c\neq0$,则$(1 - a)(1 - b)=\frac{1}{a}+\frac{1}{b}$;
④若$c = 4$,则$a^{2}+b^{2}=8$.
其中正确结论的个数为 ( )
A. $1$
B. $2$
C. $3$
D. $4$
①若$c\neq0$,则$\frac{2a - 3ab + 2b}{5a + 7ab + 5b}=-\frac{1}{12}$;
②若$a = 3$,则$b + c = 6$;
③若$c\neq0$,则$(1 - a)(1 - b)=\frac{1}{a}+\frac{1}{b}$;
④若$c = 4$,则$a^{2}+b^{2}=8$.
其中正确结论的个数为 ( )
A. $1$
B. $2$
C. $3$
D. $4$
答案:
D
8. 化简:
(1) $(1+\frac{1}{a^{2}-1})\div\frac{a}{a - 1}=$__________;
(2) $(\frac{n^{2}+n - 1}{n + 2}-\frac{n}{2 + n})\div\frac{n + 1}{n}=$__________.
(1) $(1+\frac{1}{a^{2}-1})\div\frac{a}{a - 1}=$__________;
(2) $(\frac{n^{2}+n - 1}{n + 2}-\frac{n}{2 + n})\div\frac{n + 1}{n}=$__________.
答案:
(1)$\frac{a}{a + 1}$
(2)$\frac{n^{2}-n}{n + 2}$
(1)$\frac{a}{a + 1}$
(2)$\frac{n^{2}-n}{n + 2}$
9. 若$a^{2}-2a - 15 = 0$,则式子$(a-\frac{4a - 4}{a})\cdot\frac{a^{2}}{a - 2}$的值是__________.
答案:
15
10. 计算:
(1) $\frac{x^{2}-4}{x + 2}\div(4 - 2x)$;
(2) $\frac{2a + 2}{a - 1}\div(a + 1)-\frac{a^{2}-1}{a^{2}-2a + 1}$.
(1) $\frac{x^{2}-4}{x + 2}\div(4 - 2x)$;
(2) $\frac{2a + 2}{a - 1}\div(a + 1)-\frac{a^{2}-1}{a^{2}-2a + 1}$.
答案:
解:
(1)原式$=-\frac{1}{2}$.
(2)原式$=-1$.
(1)原式$=-\frac{1}{2}$.
(2)原式$=-1$.
11. [2023大同期末]先化简,再求值:$(\frac{1}{x - y}+\frac{1}{x + y})\div\frac{x^{2}y}{x^{2}-y^{2}}$,其中$x = 3$,$y = 1$.
答案:
解:原式$=\frac{(x + y)+(x - y)}{(x - y)(x + y)}\cdot\frac{(x - y)(x + y)}{x^{2}y}=\frac{2x}{x^{2}y}=\frac{2}{xy}$,
$\because x = 3,y = 1$,
$\therefore$原式$=\frac{2}{3\times1}=\frac{2}{3}$.
$\because x = 3,y = 1$,
$\therefore$原式$=\frac{2}{3\times1}=\frac{2}{3}$.
12. 先化简,再求值:$(\frac{2x}{x - 1}-\frac{6}{1 - x})\div\frac{x + 3}{x^{2}-1}$,请选择一个你喜欢的数作为$x$的值代入求值.
答案:
解:原式$=\frac{2x + 6}{x - 1}\cdot\frac{(x - 1)(x + 1)}{x + 3}=2(x + 1)=2x + 2$,
当$x = 0$时,原式$=2$.
(注意:$x$不可取$-3,\pm1$,其他值均可)
当$x = 0$时,原式$=2$.
(注意:$x$不可取$-3,\pm1$,其他值均可)
查看更多完整答案,请扫码查看