2025年世纪金榜金榜学案八年级数学下册人教版
注:目前有些书本章节名称可能整理的还不是很完善,但都是按照顺序排列的,请同学们按照顺序仔细查找。练习册 2025年世纪金榜金榜学案八年级数学下册人教版 答案主要是用来给同学们做完题方便对答案用的,请勿直接抄袭。
第89页
- 第1页
- 第2页
- 第3页
- 第4页
- 第5页
- 第6页
- 第7页
- 第8页
- 第9页
- 第10页
- 第11页
- 第12页
- 第13页
- 第14页
- 第15页
- 第16页
- 第17页
- 第18页
- 第19页
- 第20页
- 第21页
- 第22页
- 第23页
- 第24页
- 第25页
- 第26页
- 第27页
- 第28页
- 第29页
- 第30页
- 第31页
- 第32页
- 第33页
- 第34页
- 第35页
- 第36页
- 第37页
- 第38页
- 第39页
- 第40页
- 第41页
- 第42页
- 第43页
- 第44页
- 第45页
- 第46页
- 第47页
- 第48页
- 第49页
- 第50页
- 第51页
- 第52页
- 第53页
- 第54页
- 第55页
- 第56页
- 第57页
- 第58页
- 第59页
- 第60页
- 第61页
- 第62页
- 第63页
- 第64页
- 第65页
- 第66页
- 第67页
- 第68页
- 第69页
- 第70页
- 第71页
- 第72页
- 第73页
- 第74页
- 第75页
- 第76页
- 第77页
- 第78页
- 第79页
- 第80页
- 第81页
- 第82页
- 第83页
- 第84页
- 第85页
- 第86页
- 第87页
- 第88页
- 第89页
- 第90页
- 第91页
- 第92页
- 第93页
- 第94页
- 第95页
- 第96页
1.(3分·抽象能力、推理能力)已知一次函数$y = kx + b$的图象如图所示,则下列判断中正确的是( )

A.$k>0,b<0$
B.方程$kx + b = 0$的解是$x = -3$
C.当$x>-3$时,$y<0$
D.$y$随$x$的增大而减小
A.$k>0,b<0$
B.方程$kx + b = 0$的解是$x = -3$
C.当$x>-3$时,$y<0$
D.$y$随$x$的增大而减小
答案:
B
2.(3分·推理能力)如图是一次函数$y_1 = kx + b$与$y_2 = x + a$的图象,则下列结论:①$k<0$;②$a>0$;③$b>0$;④方程$kx + b = x + a$的解是$x = 3$,错误的个数是( )

A.1
B.2
C.3
D.4
A.1
B.2
C.3
D.4
答案:
A
3.(4分·抽象能力)如图,直线$y = ax + b(a\neq0)$过点A(0,2),B(3,0),则不等式$ax + b>0$的解集是( )

A.$x>3$
B.$x<3$
C.$x>2$
D.$x<2
A.$x>3$
B.$x<3$
C.$x>2$
D.$x<2
答案:
B
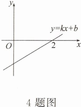
4.(4分·推理能力)已知一次函数$y = kx + b(k\neq0)$的图象如图所示,则不等式$kx + b\leqslant0$的解集是__________.
答案:
$x\leqslant2$
5.(6分·抽象能力、推理能力、几何直观)如图,已知直线l:$y = 2x + 4$交$x$轴于点A,交$y$轴于点B.
(1)直接写出直线l向右平移2个单位长度得到的直线l₁的解析式__________;
(2)直接写出直线l关于$y = -x$对称的直线l₂的解析式__________;
(3)点P在直线l上,若 $S_{\triangle OAP}=2S_{\triangle OBP}$,求P点坐标.
(1)直接写出直线l向右平移2个单位长度得到的直线l₁的解析式__________;
(2)直接写出直线l关于$y = -x$对称的直线l₂的解析式__________;
(3)点P在直线l上,若 $S_{\triangle OAP}=2S_{\triangle OBP}$,求P点坐标.
答案:
(1)直线$l:y = 2x + 4$向右平移2个单位长度得到的直线$l_1$的解析式为$y = 2(x - 2)+4$,即$y = 2x$; 答案:$y = 2x$
(2)因为直线$l:y = 2x + 4$交$x$轴于点$A$,交$y$轴于点$B$,所以$A(-2,0)$,$B(0,4)$,这两点关于$y = -x$的对称点为$(0,2)$,$(-4,0)$,设直线$l_2$的解析式为$y = kx + b$,代入$(-4,0)$,$(0,2)$, 所以$\begin{cases}-4k + b = 0\\b = 2\end{cases}$,解得$\begin{cases}k=\frac{1}{2}\\b = 2\end{cases}$, 所以直线$l_2$的解析式为$y=\frac{1}{2}x + 2$; 答案:$y=\frac{1}{2}x + 2$
(3)因为$OA = 2$,$OB = 4$,设点$P$的坐标为$(x,2x + 4)$, 因为$S_{\triangle OAP}=2S_{\triangle OBP}$,所以$\frac{1}{2}OA\cdot|2x + 4|=2\times\frac{1}{2}OB\cdot|x|$,即$|2x + 4|=4|x|$,解得$x = -\frac{2}{3}$或2, 所以$P(-\frac{2}{3},\frac{8}{3})$或$(2,8)$。
(1)直线$l:y = 2x + 4$向右平移2个单位长度得到的直线$l_1$的解析式为$y = 2(x - 2)+4$,即$y = 2x$; 答案:$y = 2x$
(2)因为直线$l:y = 2x + 4$交$x$轴于点$A$,交$y$轴于点$B$,所以$A(-2,0)$,$B(0,4)$,这两点关于$y = -x$的对称点为$(0,2)$,$(-4,0)$,设直线$l_2$的解析式为$y = kx + b$,代入$(-4,0)$,$(0,2)$, 所以$\begin{cases}-4k + b = 0\\b = 2\end{cases}$,解得$\begin{cases}k=\frac{1}{2}\\b = 2\end{cases}$, 所以直线$l_2$的解析式为$y=\frac{1}{2}x + 2$; 答案:$y=\frac{1}{2}x + 2$
(3)因为$OA = 2$,$OB = 4$,设点$P$的坐标为$(x,2x + 4)$, 因为$S_{\triangle OAP}=2S_{\triangle OBP}$,所以$\frac{1}{2}OA\cdot|2x + 4|=2\times\frac{1}{2}OB\cdot|x|$,即$|2x + 4|=4|x|$,解得$x = -\frac{2}{3}$或2, 所以$P(-\frac{2}{3},\frac{8}{3})$或$(2,8)$。
查看更多完整答案,请扫码查看