2025年世纪金榜金榜学案八年级数学下册人教版
注:目前有些书本章节名称可能整理的还不是很完善,但都是按照顺序排列的,请同学们按照顺序仔细查找。练习册 2025年世纪金榜金榜学案八年级数学下册人教版 答案主要是用来给同学们做完题方便对答案用的,请勿直接抄袭。
第78页
- 第1页
- 第2页
- 第3页
- 第4页
- 第5页
- 第6页
- 第7页
- 第8页
- 第9页
- 第10页
- 第11页
- 第12页
- 第13页
- 第14页
- 第15页
- 第16页
- 第17页
- 第18页
- 第19页
- 第20页
- 第21页
- 第22页
- 第23页
- 第24页
- 第25页
- 第26页
- 第27页
- 第28页
- 第29页
- 第30页
- 第31页
- 第32页
- 第33页
- 第34页
- 第35页
- 第36页
- 第37页
- 第38页
- 第39页
- 第40页
- 第41页
- 第42页
- 第43页
- 第44页
- 第45页
- 第46页
- 第47页
- 第48页
- 第49页
- 第50页
- 第51页
- 第52页
- 第53页
- 第54页
- 第55页
- 第56页
- 第57页
- 第58页
- 第59页
- 第60页
- 第61页
- 第62页
- 第63页
- 第64页
- 第65页
- 第66页
- 第67页
- 第68页
- 第69页
- 第70页
- 第71页
- 第72页
- 第73页
- 第74页
- 第75页
- 第76页
- 第77页
- 第78页
- 第79页
- 第80页
- 第81页
- 第82页
- 第83页
- 第84页
- 第85页
- 第86页
- 第87页
- 第88页
- 第89页
- 第90页
- 第91页
- 第92页
- 第93页
- 第94页
- 第95页
- 第96页
1. 正比例函数的图象
(1)形状:经过 的直线.
(2)位置:
①$k>0$,经过第 象限;
②$k<0$,经过第 象限;
(3)作法(两点法):过原点和点$(1,k)$($k$是常数,且$k\neq0$)的直线,即为正比例函数$y = kx(k\neq0)$的图象.
(1)形状:经过 的直线.
(2)位置:
①$k>0$,经过第 象限;
②$k<0$,经过第 象限;
(3)作法(两点法):过原点和点$(1,k)$($k$是常数,且$k\neq0$)的直线,即为正比例函数$y = kx(k\neq0)$的图象.
答案:
1.(1)原点 (2)①一、三 ②二、四
2.增大 减小
1. 如图,在平面直角坐标系中,正比例函数$y=-x$的图象大致是( )

答案:
B
2. 正比例函数$y = 2x$的图象经过的象限是( )
A. 一、三
B. 二、四
C. 一、三、四
D. 二、三、四
A. 一、三
B. 二、四
C. 一、三、四
D. 二、三、四
答案:
A
2. 正比例函数的性质
$k>0$,$y$的值随$x$值的增大而 ;
$k<0$,$y$的值随$x$值的增大而
$k>0$,$y$的值随$x$值的增大而 ;
$k<0$,$y$的值随$x$值的增大而
答案:
增大 减小
3. 已知正比例函数$y = kx$($k$是常数,$k\neq0$),$y$随$x$的增大而增大,写出一个符合条件的$k$的值______________.
答案:
1(答案不唯一)
【典例1】(教材再开发·P87例1拓展)已知函数$y = x$,$y=-2x$,$y=\frac{1}{2}x$,$y = 3x$.
正比例函数的图象和性质
(1)在同一坐标系内画出函数的图象.
(2)探索发现:观察这些函数的图象可以发现,随$\vert k\vert$的增大,直线与$y$轴的位置关系有何变化?
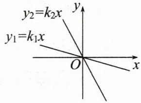
(3)灵活运用:已知正比例函数$y_1 = k_1x$,$y_2 = k_2x$在同一坐标系中的图象如图所示,则$k_1$与$k_2$的大小关系为__________.

正比例函数的图象和性质
(1)在同一坐标系内画出函数的图象.
(2)探索发现:观察这些函数的图象可以发现,随$\vert k\vert$的增大,直线与$y$轴的位置关系有何变化?
(3)灵活运用:已知正比例函数$y_1 = k_1x$,$y_2 = k_2x$在同一坐标系中的图象如图所示,则$k_1$与$k_2$的大小关系为__________.
答案:
【自主解答】(1)如图:
(2)观察这些函数的图象可以发现,随|k|的增大,直线与y轴的夹角越小.
(3)由(2)规律可知,k₁>k₂.
答案:k₁>k₂
【自主解答】(1)如图:
查看更多完整答案,请扫码查看