2025年热搜题高中数学选择性必修第二册人教版
注:目前有些书本章节名称可能整理的还不是很完善,但都是按照顺序排列的,请同学们按照顺序仔细查找。练习册 2025年热搜题高中数学选择性必修第二册人教版 答案主要是用来给同学们做完题方便对答案用的,请勿直接抄袭。
9. [2024·邢台一中月考]已知$ a $是常数,函数$ f(x) = \frac{1}{3}x^3 + \frac{1}{2}(1 - a)x^2 - ax + 2 $的导函数$ y = f'(x) $的图象如图,则函数$ g(x) = |a^x - 2| $的图象大致是(


D
)
答案:
9.D【解析】因为$f(x)=\frac{1}{3}x^{3}+\frac{1}{2}(1 - a)x^{2}-ax + 2$,所以$f'(x)=x^{2}-(a - 1)x - a$.再由$f'(x)$的图象知$\begin{cases}f'(0)<0,\\f'(1)<0,\frac{a - 1}{2}>0,\end{cases}$解得$a>1$.因此函数$g(x)=|a^{x}-2|$的图象可能是D.
10. [2024·海南中学期末](多选)将函数$ y = f(x) $和$ y = f'(x) $的图象画在同一个平面直角坐标系中,不正确的有(

ABD
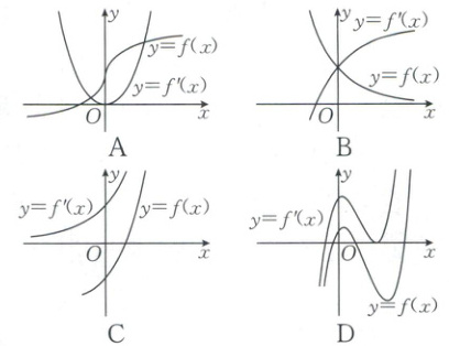
)
答案:
10.ABD【解析】对于A,由题中函数$y = f'(x)$的图象可知,$f'(0)=0$,但题中函数$y = f(x)$的图象在$x = 0$处的切线斜率不存在,故A不正确;对于B,由题中函数$y = f'(x)$的图象可知,函数$y = f(x)$存在单调递增区间,但题图中函数$y = f(x)$为减函数,故B不正确;对于C,由题中函数$y = f'(x)$的图象可知,函数$y = f(x)$在$R$上为增函数,故C正确;对于D,由题中函数$y = f'(x)$的图象可知,函数$y = f(x)$有两个单调区间,但题图中函数$y = f(x)$有三个单调区间,故D不正确.故选ABD.
11. [2024·郑州一中周练]已知函数$ f(x) $与$ f'(x) $的图象如图所示,则函数$ g(x) = \frac{f(x)}{e^x} $的单调递减区间为

$(0,1)$,$(4,+\infty)$
。
答案:
11.$(0,1)$,$(4,+\infty)$【解析】$g'(x)=\frac{f'(x)e^{x}-f(x)(e^{x})'}{(e^{x})^{2}}=\frac{f'(x)-f(x)}{e^{x}}$,由题中图象可知,当$x\in(0,1)$时,$f'(x)-f(x)<0$,此时$g'(x)<0$;当$x\in(4,+\infty)$时,$f'(x)-f(x)<0$,此时$g'(x)<0$,故函数$g(x)=\frac{f(x)}{e^{x}}$的单调递减区间为$(0,1)$和$(4,+\infty)$.
1. [2024·桂林中学月考]已知函数$ f(x) = e^{2x + 1} - e^{-2x} - mx $在$ \mathbf{R} $上为增函数,则实数$ m $的取值范围为(
A.$ (-\infty, 4\sqrt{e}] $
B.$ [4\sqrt{e}, +\infty) $
C.$ (-\infty, 2\sqrt{e}] $
D.$ [2\sqrt{e}, +\infty) $
A
)A.$ (-\infty, 4\sqrt{e}] $
B.$ [4\sqrt{e}, +\infty) $
C.$ (-\infty, 2\sqrt{e}] $
D.$ [2\sqrt{e}, +\infty) $
答案:
1.A【解析】因为函数$f(x)=e^{2x + 1}-e^{-2x}-mx$在$R$上为增函数,所以$f'(x)=2e^{2x + 1}+2e^{-2x}-m\geq0$对$x\in R$恒成立,即$m\leq2e^{2x + 1}+2e^{-2x}$对$x\in R$恒成立.又因为$2e^{2x + 1}+2e^{-2x}\geq2\sqrt{2e^{2x + 1}×2e^{-2x}}=4\sqrt{e}$(当且仅当$2e^{2x + 1}=2e^{-2x}$,即$x = -\frac{1}{4}$时,等号成立),所以$m\leq4\sqrt{e}$.
2. [2024·山东师大附中单元检测]若函数$ f(x) = ax^3 + 3x^2 + x + b(a > 0, b \in \mathbf{R}) $恰好有三个不同的单调区间,则实数$ a $的取值范围是(
A.$ (0, 3) \cup (3, +\infty) $
B.$ [3, +\infty) $
C.$ (0, 3] $
D.$ (0, 3) $
D
)A.$ (0, 3) \cup (3, +\infty) $
B.$ [3, +\infty) $
C.$ (0, 3] $
D.$ (0, 3) $
答案:
2.D【解析】由题意得$f'(x)=3ax^{2}+6x + 1(a>0)$,因为函数$f(x)$恰好有三个不同的单调区间,所以$f'(x)$有两个不同的零点,所以$\Delta=36 - 12a>0$,解得$0<a<3$,所以实数$a$的取值范围是$(0,3)$.故选D.
3. [2024·哈尔滨三中月考]若函数$ f(x) = 2x^2 - \ln x $在定义域内的一个子区间$ (k - 1, k + 1) $上不是单调函数,则实数$ k $的取值范围是(
A.$ \left[ -\frac{1}{2}, \frac{3}{2} \right) $
B.$ \left( -\frac{1}{2}, \frac{3}{2} \right) $
C.$ \left[ 1, \frac{3}{2} \right) $
D.$ \left( 1, \frac{3}{2} \right) $
C
)A.$ \left[ -\frac{1}{2}, \frac{3}{2} \right) $
B.$ \left( -\frac{1}{2}, \frac{3}{2} \right) $
C.$ \left[ 1, \frac{3}{2} \right) $
D.$ \left( 1, \frac{3}{2} \right) $
答案:
3.C【解析】由题意,得函数$f(x)$的定义域为$(0,+\infty)$,$f'(x)=4x-\frac{1}{x}$.令$f'(x)=0$,解得$x=\frac{1}{2}$或$x=-\frac{1}{2}$(舍去).当$0<x<\frac{1}{2}$时,$f'(x)<0$,函数$f(x)$在区间$(0,\frac{1}{2})$上单调递减;当$x>\frac{1}{2}$时,$f'(x)>0$,函数$f(x)$在区间$(\frac{1}{2},+\infty)$上单调递增.因为函数$f(x)$在区间$(k - 1,k + 1)$上不是单调函数,所以$k - 1<\frac{1}{2}<k + 1$,解得$-\frac{1}{2}<k<\frac{3}{2}$.又$k - 1\geq0$,所以$1\leq k<\frac{3}{2}$.故选C.
4. [2024·北京四中月考]已知函数$ f(x) = x^3 + ax^2 + (2a - 3)x - 1 $。
(1) 若$ f(x) $的单调递减区间为$ (-1, 1) $,求实数$ a $的值;
(2) 若$ f(x) $在区间$ (-1, 1) $内单调递减,求实数$ a $的取值范围。
(1) 若$ f(x) $的单调递减区间为$ (-1, 1) $,求实数$ a $的值;
(2) 若$ f(x) $在区间$ (-1, 1) $内单调递减,求实数$ a $的取值范围。
答案:
4.由题意得$f'(x)=3x^{2}+2ax + 2a - 3=(x + 1)(3x + 2a - 3)$.
(1)因为$f(x)$的单调递减区间为$(-1,1)$,所以$-1$和$1$是方程$f'(x)=0$的两个根,所以$\frac{2a - 3}{3}=-1$,所以$a = 0$.
(2)因为$f(x)$在区间$(-1,1)$内单调递减,所以$f'(x)\leq0$在$(-1,1)$内恒成立(不恒为$0$).又二次函数$y = f'(x)$的图象开口向上,方程$f'(x)=0$的一个根为$-1$,所以$\frac{3 - 2a}{3}\geq1$,所以$a\leq0$.所以实数$a$的取值范围是$\{a\mid a\leq0\}$.
(1)因为$f(x)$的单调递减区间为$(-1,1)$,所以$-1$和$1$是方程$f'(x)=0$的两个根,所以$\frac{2a - 3}{3}=-1$,所以$a = 0$.
(2)因为$f(x)$在区间$(-1,1)$内单调递减,所以$f'(x)\leq0$在$(-1,1)$内恒成立(不恒为$0$).又二次函数$y = f'(x)$的图象开口向上,方程$f'(x)=0$的一个根为$-1$,所以$\frac{3 - 2a}{3}\geq1$,所以$a\leq0$.所以实数$a$的取值范围是$\{a\mid a\leq0\}$.
查看更多完整答案,请扫码查看