2025年暑假作业甘肃少年儿童出版社高一物理人教版
注:目前有些书本章节名称可能整理的还不是很完善,但都是按照顺序排列的,请同学们按照顺序仔细查找。练习册 2025年暑假作业甘肃少年儿童出版社高一物理人教版 答案主要是用来给同学们做完题方便对答案用的,请勿直接抄袭。
1. 下列粒子从初速度为零的状态经过电压为 U 的电场后,速度最大的粒子是 (
A.质子$({}_{1}^{1}H)$
B.氘核$({}_{1}^{2}H)$
C.α粒子$({}_{2}^{4}He)$
D.钠离子$(Na^{+})$
A
)A.质子$({}_{1}^{1}H)$
B.氘核$({}_{1}^{2}H)$
C.α粒子$({}_{2}^{4}He)$
D.钠离子$(Na^{+})$
答案:
解:粒子在电场中加速,由动能定理得:$qU = \frac{1}{2}mv^2$,解得$v = \sqrt{\frac{2qU}{m}}$。
各粒子比荷($\frac{q}{m}$)如下:
- 质子(${}_{1}^{1}H$):$\frac{1}{1} = 1$
- 氘核(${}_{1}^{2}H$):$\frac{1}{2} = 0.5$
- α粒子(${}_{2}^{4}He$):$\frac{2}{4} = 0.5$
- 钠离子($Na^+$):钠的质子数为11,质量数约23,$\frac{1}{23} \approx 0.043$
质子比荷最大,故速度最大。
答案:A
各粒子比荷($\frac{q}{m}$)如下:
- 质子(${}_{1}^{1}H$):$\frac{1}{1} = 1$
- 氘核(${}_{1}^{2}H$):$\frac{1}{2} = 0.5$
- α粒子(${}_{2}^{4}He$):$\frac{2}{4} = 0.5$
- 钠离子($Na^+$):钠的质子数为11,质量数约23,$\frac{1}{23} \approx 0.043$
质子比荷最大,故速度最大。
答案:A
2. 如图所示,从 F 处释放一个无初速度的电子(不计重力)向 B 板方向运动,下列对电子运动的描述中错误的是(设电源电动势为 U) (

A.电子到达 B 板时的动能是 Ue
B.电子从 B 板到达 C 板动能变化量为零
C.电子到达 D 板时动能是 3Ue
D.电子在 A 板和 D 板之间做往复运动
C
)A.电子到达 B 板时的动能是 Ue
B.电子从 B 板到达 C 板动能变化量为零
C.电子到达 D 板时动能是 3Ue
D.电子在 A 板和 D 板之间做往复运动
答案:
解:
- 电子从F到B:电场力做功$W=eU$,动能增加$eU$,A正确。
- B、C板等势:电子从B到C电场力不做功,动能变化量为零,B正确。
- 电子从C到D:电场力做负功$-eU$,到达D板动能为$eU - eU=0$,C错误。
- 电子在A、D间:在A、B间加速,B、C间匀速,C、D间减速至零后反向运动,做往复运动,D正确。
答案:C
- 电子从F到B:电场力做功$W=eU$,动能增加$eU$,A正确。
- B、C板等势:电子从B到C电场力不做功,动能变化量为零,B正确。
- 电子从C到D:电场力做负功$-eU$,到达D板动能为$eU - eU=0$,C错误。
- 电子在A、D间:在A、B间加速,B、C间匀速,C、D间减速至零后反向运动,做往复运动,D正确。
答案:C
3. 某些肿瘤可以用“质子疗法”进行治疗。如图所示,在这种疗法中,质子(质量为$1.67×10^{-27}kg$,电荷量为$1.6×10^{-19}C$)先被加速到具有较高的能量,然后被引向轰击肿瘤,杀死其中的恶性细胞。若质子的加速长度为 4.0 m,要使质子由静止被加速到$1.0×10^{7}m/s$,加速匀强电场的电场强度应是 (

A.$6.5×10^{4}V/m$
B.$1.3×10^{5}V/m$
C.$2.6×10^{5}V/m$
D.$5.2×10^{5}V/m$
B
)A.$6.5×10^{4}V/m$
B.$1.3×10^{5}V/m$
C.$2.6×10^{5}V/m$
D.$5.2×10^{5}V/m$
答案:
解:质子在电场中加速,电场力做功等于动能的增加量。
根据动能定理:$qEd = \frac{1}{2}mv^2 - 0$
已知:$m = 1.67×10^{-27}kg$,$q = 1.6×10^{-19}C$,$d = 4.0m$,$v = 1.0×10^{7}m/s$
代入数据:$E = \frac{mv^2}{2qd}$
$E = \frac{1.67×10^{-27}×(1.0×10^{7})^{2}}{2×1.6×10^{-19}×4.0}$
计算得:$E ≈ 1.3×10^{5}V/m$
答案:B
根据动能定理:$qEd = \frac{1}{2}mv^2 - 0$
已知:$m = 1.67×10^{-27}kg$,$q = 1.6×10^{-19}C$,$d = 4.0m$,$v = 1.0×10^{7}m/s$
代入数据:$E = \frac{mv^2}{2qd}$
$E = \frac{1.67×10^{-27}×(1.0×10^{7})^{2}}{2×1.6×10^{-19}×4.0}$
计算得:$E ≈ 1.3×10^{5}V/m$
答案:B
4. (2023·浙江 6 月选考)某带电粒子转向器的横截面如图所示,转向器中有辐向电场。粒子从 M 点射入,沿着由半径分别为$R_{1}和R_{2}$的圆弧平滑接成的虚线(等势线)运动,并从虚线上的 N 点射出,虚线处电场强度大小分别为$E_{1}和E_{2}$,则$R_{1}$、$R_{2}和E_{1}$、$E_{2}$应满足 (

A.$\frac {E_{1}}{E_{2}}= \frac {R_{2}}{R_{1}}$
B.$\frac {E_{1}}{E_{2}}= \frac {R_{1}^{2}}{R_{2}^{2}}$
C.$\frac {E_{1}}{E_{2}}= \frac {R_{1}}{R_{2}}$
D.$\frac {E_{1}}{E_{2}}= \frac {R_{2}^{2}}{R_{1}^{2}}$
A
)A.$\frac {E_{1}}{E_{2}}= \frac {R_{2}}{R_{1}}$
B.$\frac {E_{1}}{E_{2}}= \frac {R_{1}^{2}}{R_{2}^{2}}$
C.$\frac {E_{1}}{E_{2}}= \frac {R_{1}}{R_{2}}$
D.$\frac {E_{1}}{E_{2}}= \frac {R_{2}^{2}}{R_{1}^{2}}$
答案:
解:粒子在等势线上运动,速度大小不变,电场力提供向心力。
由牛顿第二定律得:
$qE_{1}=\frac{mv^{2}}{R_{1}}$
$qE_{2}=\frac{mv^{2}}{R_{2}}$
联立解得:$\frac{E_{1}}{E_{2}}=\frac{R_{2}}{R_{1}}$
答案:A
由牛顿第二定律得:
$qE_{1}=\frac{mv^{2}}{R_{1}}$
$qE_{2}=\frac{mv^{2}}{R_{2}}$
联立解得:$\frac{E_{1}}{E_{2}}=\frac{R_{2}}{R_{1}}$
答案:A
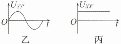
5. 如图甲所示是示波管的原理图,如果在电极$XX'$之间所加的电压按图丙所示的规律变化,在电极$YY'$之间所加的电压按图乙所示的规律变化,则荧光屏上会看到的图形是 (



B
)
答案:
解:在电极$XX'$之间所加的电压保持不变,因此电子在X方向上的偏移位移保持不变;在电极$YY'$之间所加的电压按正弦规律变化,电子在Y方向上的偏移在正、负最大值之间变化。故荧光屏上会看到的图形是一条竖直线,选项B正确。
答案:B
答案:B
6. 如图所示,质量为 m,带电量为 q 的粒子,以初速度$v_{0}$,从 A 点竖直向上射入真空中的沿水平方向的匀强电场中,粒子通过电场中 B 点时,速率$v_{B}= 2v_{0}$,方向与电场的方向一致,则 A、B 两点的电势差为 (

A.$\frac {mv_{0}^{2}}{2q}$
B.$\frac {3mv_{0}^{2}}{q}$
C.$\frac {2mv_{0}^{2}}{q}$
D.$\frac {3mv_{0}^{2}}{2q}$
C
)A.$\frac {mv_{0}^{2}}{2q}$
B.$\frac {3mv_{0}^{2}}{q}$
C.$\frac {2mv_{0}^{2}}{q}$
D.$\frac {3mv_{0}^{2}}{2q}$
答案:
解:粒子从A到B,根据动能定理得:
$qU_{AB}-mgh=\frac{1}{2}mv_{B}^{2}-\frac{1}{2}mv_{0}^{2}$
竖直方向粒子仅受重力,做匀减速直线运动,末速度为0,由运动学公式得:
$0 - v_{0}^{2}=-2gh$
已知$v_{B}=2v_{0}$,联立上述两式解得:
$U_{AB}=\frac{2mv_{0}^{2}}{q}$
答案:C
$qU_{AB}-mgh=\frac{1}{2}mv_{B}^{2}-\frac{1}{2}mv_{0}^{2}$
竖直方向粒子仅受重力,做匀减速直线运动,末速度为0,由运动学公式得:
$0 - v_{0}^{2}=-2gh$
已知$v_{B}=2v_{0}$,联立上述两式解得:
$U_{AB}=\frac{2mv_{0}^{2}}{q}$
答案:C
查看更多完整答案,请扫码查看