2025年暑假作业甘肃少年儿童出版社高一物理人教版
注:目前有些书本章节名称可能整理的还不是很完善,但都是按照顺序排列的,请同学们按照顺序仔细查找。练习册 2025年暑假作业甘肃少年儿童出版社高一物理人教版 答案主要是用来给同学们做完题方便对答案用的,请勿直接抄袭。
1. 下列说法中正确的是 (
A.只要物体受力的同时又有位移发生,则一定有力对物体做功
B.力很大,位移很大,这个力所做的功可能等于 0
C.机器做功越多,其功率越大
D.汽车上坡的时候,司机必须换高速挡,其目的是增大速度,得到较小的牵引力
B
)A.只要物体受力的同时又有位移发生,则一定有力对物体做功
B.力很大,位移很大,这个力所做的功可能等于 0
C.机器做功越多,其功率越大
D.汽车上坡的时候,司机必须换高速挡,其目的是增大速度,得到较小的牵引力
答案:
解:A. 力对物体做功的条件是力和在力的方向上发生的位移,物体受力且有位移,但力与位移方向垂直时不做功,A错误。
B. 力很大、位移很大,若力与位移方向垂直,根据$W=Fs\cos\theta$($\theta=90^\circ$时$\cos\theta=0$),做功为0,B正确。
C. 功率$P=\frac{W}{t}$,做功多但时间长时功率不一定大,C错误。
D. 汽车上坡需增大牵引力,根据$P=Fv$,功率一定时,换低速挡减小速度可增大牵引力,D错误。
答案:B
B. 力很大、位移很大,若力与位移方向垂直,根据$W=Fs\cos\theta$($\theta=90^\circ$时$\cos\theta=0$),做功为0,B正确。
C. 功率$P=\frac{W}{t}$,做功多但时间长时功率不一定大,C错误。
D. 汽车上坡需增大牵引力,根据$P=Fv$,功率一定时,换低速挡减小速度可增大牵引力,D错误。
答案:B
2. 玩具起重机上悬挂一个质量为 500 g 的钩码,从静止开始以$ 2 m/s^2$的加速度提升钩码,3 s 内拉力所做的功为(g 取$ 10 m/s^2) (
A.9 J
B.18 J
C.24 J
D.54 J
D
)$A.9 J
B.18 J
C.24 J
D.54 J
答案:
D
3. 如图所示,质量 m= 1 kg 的物体静止在光滑水平地面上,t= 0 时对物体施加一与水平方向夹角为 37°、大小为 10 N 的恒力 F,sin37°= 0.6,cos37°= 0.8,则下列说法正确的是 (

A.1 s 末物体的动能大小为 16 J
B.经过 2 s 力 F 做功为 160 J
C.2 s 末力 F 的功率为 128 W
D.前 2 s 力 F 的平均功率为 80 W
C
)A.1 s 末物体的动能大小为 16 J
B.经过 2 s 力 F 做功为 160 J
C.2 s 末力 F 的功率为 128 W
D.前 2 s 力 F 的平均功率为 80 W
答案:
解:对物体受力分析,水平方向由牛顿第二定律得:
$F\cos37^\circ=ma$
$a=\frac{F\cos37^\circ}{m}=\frac{10×0.8}{1}\,\text{m/s}^2=8\,\text{m/s}^2$
A. 1s末动能:
$E_k=\frac{1}{2}m(at_1)^2=\frac{1}{2}×1×(8×1)^2\,\text{J}=32\,\text{J}$,A错误
B. 2s内力$F$做功:
$v=at_2=8×2\,\text{m/s}=16\,\text{m/s}$
$W=\frac{1}{2}mv^2=\frac{1}{2}×1×16^2\,\text{J}=128\,\text{J}$,B错误
C. 2s末力$F$的功率:
$P=Fv\cos37^\circ=10×16×0.8\,\text{W}=128\,\text{W}$,C正确
D. 前2s平均功率:
$\overline{P}=\frac{W}{t_2}=\frac{128}{2}\,\text{W}=64\,\text{W}$,D错误
答案:C
$F\cos37^\circ=ma$
$a=\frac{F\cos37^\circ}{m}=\frac{10×0.8}{1}\,\text{m/s}^2=8\,\text{m/s}^2$
A. 1s末动能:
$E_k=\frac{1}{2}m(at_1)^2=\frac{1}{2}×1×(8×1)^2\,\text{J}=32\,\text{J}$,A错误
B. 2s内力$F$做功:
$v=at_2=8×2\,\text{m/s}=16\,\text{m/s}$
$W=\frac{1}{2}mv^2=\frac{1}{2}×1×16^2\,\text{J}=128\,\text{J}$,B错误
C. 2s末力$F$的功率:
$P=Fv\cos37^\circ=10×16×0.8\,\text{W}=128\,\text{W}$,C正确
D. 前2s平均功率:
$\overline{P}=\frac{W}{t_2}=\frac{128}{2}\,\text{W}=64\,\text{W}$,D错误
答案:C
4. 一质量为 m= 1 kg 的物体从 h= 45 m 高度处由静止释放。重力加速度 g 取$ 10 m/s^2,$不计空气阻力,则物体落地前瞬间重力的瞬时功率为 (
A.300 W
B.200 W
C.150 W
D.100 W
A
)A.300 W
B.200 W
C.150 W
D.100 W
答案:
解:物体落地前瞬时速度$v = \sqrt{2gh} = \sqrt{2× 10× 45}m/s = 30m/s$,物体落地前瞬间重力的瞬时功率为$P = mgv = 1kg×10m/s^2×30m/s = 300W$。
答案:A
答案:A
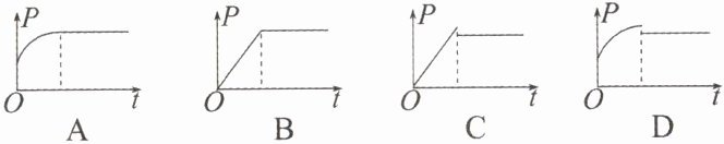
5. 汽车从静止开始先做匀加速直线运动,然后做匀速运动。汽车所受阻力恒定,下列汽车功率 P 与时间 t 的关系图像中,能描述上述过程的是 (

C
)
答案:
解:汽车从静止开始运动分为两个阶段:
1. 匀加速直线运动阶段:牵引力$F$大于阻力$f$,且$F$恒定。由$v = at$($a$为加速度,恒定)知$v$随时间均匀增大。根据$P = Fv$,$F$、$a$恒定,则$P$随时间均匀增大,图像为过原点的倾斜直线。
2. 匀速运动阶段:牵引力$F = f$,此时$F$突然减小至等于阻力。由于惯性,速度$v$瞬间不变,由$P = Fv$知功率$P$突然变小,之后$v$不变,$P$保持恒定,图像为水平直线。
综上,功率$P$先均匀增大,再突然减小后保持不变,符合图像C。
答案:C
1. 匀加速直线运动阶段:牵引力$F$大于阻力$f$,且$F$恒定。由$v = at$($a$为加速度,恒定)知$v$随时间均匀增大。根据$P = Fv$,$F$、$a$恒定,则$P$随时间均匀增大,图像为过原点的倾斜直线。
2. 匀速运动阶段:牵引力$F = f$,此时$F$突然减小至等于阻力。由于惯性,速度$v$瞬间不变,由$P = Fv$知功率$P$突然变小,之后$v$不变,$P$保持恒定,图像为水平直线。
综上,功率$P$先均匀增大,再突然减小后保持不变,符合图像C。
答案:C
6. 一质量为$ m= 1×10^3 kg $的物体静止在水平地面上,某时刻一起重机将其匀加速竖直吊起,起重机在 2 s 的时间内将物体提升 4 m 的高度。(g 取$ 10 m/s^2,$不计额外功)
(1)求起重机在这 2 s 内的平均功率。
(2)求起重机在 2 s 末的瞬时功率。
(1)求起重机在这 2 s 内的平均功率。
(2)求起重机在 2 s 末的瞬时功率。
答案:
(1)解:物体做匀加速直线运动,由$h=\frac{1}{2}at^{2}$得加速度$a = \frac{2h}{t^{2}}=\frac{2×4}{2^{2}}m/s^{2}=2m/s^{2}$
由牛顿第二定律$F - mg = ma$,得$F = m(g + a)=1×10^{3}×(10 + 2)N = 1.2×10^{4}N$
平均功率$P=\frac{W}{t}=\frac{Fh}{t}=\frac{1.2×10^{4}×4}{2}W = 2.4×10^{4}W$
(2)解:2s末速度$v = at = 2×2m/s = 4m/s$
瞬时功率$P = Fv = 1.2×10^{4}×4W = 4.8×10^{4}W$
答案:
(1)$2.4×10^{4}W$;
(2)$4.8×10^{4}W$
(1)解:物体做匀加速直线运动,由$h=\frac{1}{2}at^{2}$得加速度$a = \frac{2h}{t^{2}}=\frac{2×4}{2^{2}}m/s^{2}=2m/s^{2}$
由牛顿第二定律$F - mg = ma$,得$F = m(g + a)=1×10^{3}×(10 + 2)N = 1.2×10^{4}N$
平均功率$P=\frac{W}{t}=\frac{Fh}{t}=\frac{1.2×10^{4}×4}{2}W = 2.4×10^{4}W$
(2)解:2s末速度$v = at = 2×2m/s = 4m/s$
瞬时功率$P = Fv = 1.2×10^{4}×4W = 4.8×10^{4}W$
答案:
(1)$2.4×10^{4}W$;
(2)$4.8×10^{4}W$
查看更多完整答案,请扫码查看