2025年暑假乐园辽宁师范大学出版社七年级理综人教版
注:目前有些书本章节名称可能整理的还不是很完善,但都是按照顺序排列的,请同学们按照顺序仔细查找。练习册 2025年暑假乐园辽宁师范大学出版社七年级理综人教版 答案主要是用来给同学们做完题方便对答案用的,请勿直接抄袭。
第32页
- 第1页
- 第2页
- 第3页
- 第4页
- 第5页
- 第6页
- 第7页
- 第8页
- 第9页
- 第10页
- 第11页
- 第12页
- 第13页
- 第14页
- 第15页
- 第16页
- 第17页
- 第18页
- 第19页
- 第20页
- 第21页
- 第22页
- 第23页
- 第24页
- 第25页
- 第26页
- 第27页
- 第28页
- 第29页
- 第30页
- 第31页
- 第32页
- 第33页
- 第34页
- 第35页
- 第36页
- 第37页
- 第38页
- 第39页
- 第40页
- 第41页
- 第42页
- 第43页
- 第44页
- 第45页
- 第46页
- 第47页
- 第48页
- 第49页
- 第50页
- 第51页
- 第52页
- 第53页
- 第54页
- 第55页
- 第56页
- 第57页
- 第58页
- 第59页
- 第60页
- 第61页
- 第62页
- 第63页
- 第64页
- 第65页
- 第66页
- 第67页
- 第68页
- 第69页
- 第70页
- 第71页
- 第72页
- 第73页
- 第74页
- 第75页
【问题情境】
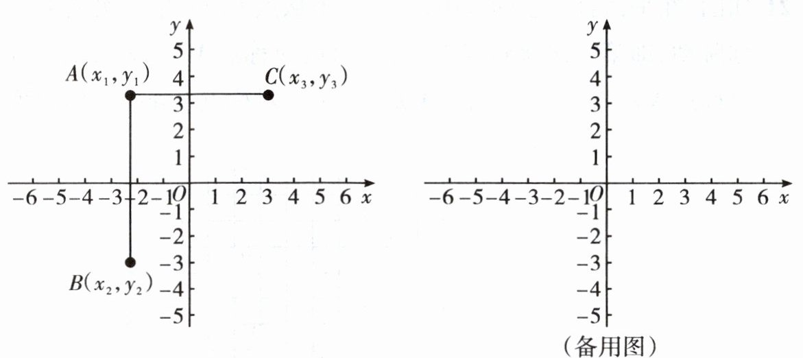
如图,在平面直角坐标系中有三点$A(x_1,y_1)$,$B(x_2,y_2)$,$C(x_3,y_3)$,小明在学习中发现:当$x_1=x_2$时,$AB// y$轴,线段$AB$的长为$|y_1-y_2|$;当$y_1=y_3$时,$AC// x$轴,线段$AC$的长为$|x_1-x_3|$。
【初步应用】
(1)若点$D(-1,1)$,$E(2,1)$,则$DE//$________轴。(填“$x$”或“$y$”)
(2)若点$G(1,-2)$,$GH// y$轴,且点$H$在$x$轴上,则$GH=$________。
(3)若点$M(-3,2)$,$N(t,-4)$,且$MN// y$轴,则$t=$________。
【拓展探索】
已知$P(3,-3)$,$PQ// y$轴。
(4)若$\triangle OPQ$的面积为3,求满足条件的点$Q$的坐标。
(5)若$PQ=a$,将点$Q$向右平移$b$个单位长度到达点$R$,已知点$R$在第一象限的角平分线上,请直接写出$a$,$b$之间满足的关系式。

如图,在平面直角坐标系中有三点$A(x_1,y_1)$,$B(x_2,y_2)$,$C(x_3,y_3)$,小明在学习中发现:当$x_1=x_2$时,$AB// y$轴,线段$AB$的长为$|y_1-y_2|$;当$y_1=y_3$时,$AC// x$轴,线段$AC$的长为$|x_1-x_3|$。
【初步应用】
(1)若点$D(-1,1)$,$E(2,1)$,则$DE//$________轴。(填“$x$”或“$y$”)
(2)若点$G(1,-2)$,$GH// y$轴,且点$H$在$x$轴上,则$GH=$________。
(3)若点$M(-3,2)$,$N(t,-4)$,且$MN// y$轴,则$t=$________。
【拓展探索】
已知$P(3,-3)$,$PQ// y$轴。
(4)若$\triangle OPQ$的面积为3,求满足条件的点$Q$的坐标。
(5)若$PQ=a$,将点$Q$向右平移$b$个单位长度到达点$R$,已知点$R$在第一象限的角平分线上,请直接写出$a$,$b$之间满足的关系式。
答案:
(1) x
(2) 2
(3) -3
(4) $\because P(3,-3)$,$PQ// y$轴,
∴设点Q的坐标为$(3,y)$,$\therefore PQ=|y-(-3)|=|y+3|$。由题意,得$\frac {1}{2}×|y+3|×3=3$,解得$y=-1$或$y=-5$,
∴点Q的坐标为$(3,-1)$或$(3,-5)$。
(5) $a-b=6$。 [提示]如图,设PQ与OR交于点S,与x轴交于点T。易知$S(3,3)$,$QS=QR=b$,$ST=OT=3$,$\therefore PQ=QS+ST+TP=b+3+3=a$,$\therefore a-b=6$。
(1) x
(2) 2
(3) -3
(4) $\because P(3,-3)$,$PQ// y$轴,
∴设点Q的坐标为$(3,y)$,$\therefore PQ=|y-(-3)|=|y+3|$。由题意,得$\frac {1}{2}×|y+3|×3=3$,解得$y=-1$或$y=-5$,
∴点Q的坐标为$(3,-1)$或$(3,-5)$。
(5) $a-b=6$。 [提示]如图,设PQ与OR交于点S,与x轴交于点T。易知$S(3,3)$,$QS=QR=b$,$ST=OT=3$,$\therefore PQ=QS+ST+TP=b+3+3=a$,$\therefore a-b=6$。
查看更多完整答案,请扫码查看