2025年对点对题高考状元训练手册高三物理人教版
注:目前有些书本章节名称可能整理的还不是很完善,但都是按照顺序排列的,请同学们按照顺序仔细查找。练习册 2025年对点对题高考状元训练手册高三物理人教版 答案主要是用来给同学们做完题方便对答案用的,请勿直接抄袭。
第53页
- 第1页
- 第2页
- 第3页
- 第4页
- 第5页
- 第6页
- 第7页
- 第8页
- 第9页
- 第10页
- 第11页
- 第12页
- 第13页
- 第14页
- 第15页
- 第16页
- 第17页
- 第18页
- 第19页
- 第20页
- 第21页
- 第22页
- 第23页
- 第24页
- 第25页
- 第26页
- 第27页
- 第28页
- 第29页
- 第30页
- 第31页
- 第32页
- 第33页
- 第34页
- 第35页
- 第36页
- 第37页
- 第38页
- 第39页
- 第40页
- 第41页
- 第42页
- 第43页
- 第44页
- 第45页
- 第46页
- 第47页
- 第48页
- 第49页
- 第50页
- 第51页
- 第52页
- 第53页
- 第54页
- 第55页
- 第56页
- 第57页
- 第58页
- 第59页
- 第60页
- 第61页
- 第62页
- 第63页
- 第64页
- 第65页
- 第66页
- 第67页
- 第68页
- 第69页
- 第70页
- 第71页
29.英国著名科幻作家ArthurC. Clarke在小说《天堂之泉》中,首先向主流科学社会和公众介绍了“太空天梯”的设想.“太空天梯”的主体结构为一根缆绳:一端连接地球赤道,另一端连接地球同步卫星,且缆绳延长线通过地心.当两货物分别停在天梯的a、b两个位置时,以地心为参考系,下面说法正确的是 ( )
A.a处的线速度较小
B.b处的线速度较小
C.a处的角速度较大
D.b处的角速度较大
A.a处的线速度较小
B.b处的线速度较小
C.a处的角速度较大
D.b处的角速度较大
答案:
A 根据描述,$a$、$b$的运转周期相等,所以角速度一样,C、D 错误;根据$v = \omega r$可知,因为$a$处的转动半径小于$b$处的转动半径,所以$a$处的线速度小于$b$处线速度,B 错误,A 正确.
30.如图所示是小球平抛运动的频闪照片,频闪时间间隔相等.若不计空气阻力,当小球在不同位置时,下列说法正确的是 ( )

A.加速度相同
B.速度大小相等
C.速度方向相同
D.速度竖直分量大小相等
A.加速度相同
B.速度大小相等
C.速度方向相同
D.速度竖直分量大小相等
答案:
A 平抛物体的加速度恒定为竖直向下的$g$,即加速度相同,选项 A 正确;平抛物体的水平速度不变,竖直速度逐渐变大,则在不同位置速度大小和方向均不相同,选项 B、C 错误;平抛物体竖直方向做自由落体运动,则速度竖直分量逐渐变大,在不同位置的竖直速度分量大小不相等,选项 D 错误.
31.下列关于电场线和磁感线的说法中,正确的是 ( )
A.任意两条磁感线不相交,两条电场线也不相交
B.电场线和磁感线都是闭合曲线
C.电场线和磁感线都是电场或磁场中实际存在的线
D.电场线越密的地方,同一试探电荷所受的电场力越大
A.任意两条磁感线不相交,两条电场线也不相交
B.电场线和磁感线都是闭合曲线
C.电场线和磁感线都是电场或磁场中实际存在的线
D.电场线越密的地方,同一试探电荷所受的电场力越大
答案:
AD 任意两条磁感线一定不相交,电场线也不相交,否则交点处有两个方向,违反唯一性的特点,选项 A 正确;电场线是不闭合曲线,而磁感线是闭合的曲线,选项 B 错误;电场线和磁感线都是假想的曲线,并不存在,选项 C 错误;电场线越密的地方,电场强度越大,由公式$F = qE$知同一试探电荷所受的电场力越大,选项 D 正确.
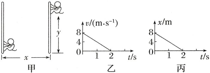
32.如图甲所示,在杂技表演中,猴子沿竖直杆向上运动,其v - t图像如图乙所示,同时人顶着杆沿水平地面运动的v - t图像如图丙所示.若以地面为参考系,下列说法正确的是( )
A.猴子的运动轨迹为直线
B.猴子在0~2 s内做匀变速曲线运动
C.t=0时猴子的速度大小为8 m/s
D.猴子在0~2 s内的加速度大小为4 m/s²
A.猴子的运动轨迹为直线
B.猴子在0~2 s内做匀变速曲线运动
C.t=0时猴子的速度大小为8 m/s
D.猴子在0~2 s内的加速度大小为4 m/s²
答案:
BD 由题图乙可知,猴子在竖直方向做初速度为$8\text{ m/s}$,加速度大小为$a=\left|\frac{0 - 8}{2}\right|\text{ m/s}^{2}=4\text{ m/s}^{2}$的匀减速运动,水平方向做速度大小为$v_{x}=\left|\frac{0 - 8}{2}\right|\text{ m/s}=4\text{ m/s}$的匀速运动,其合运动为曲线运动,故猴子在$0~2\text{ s}$内做匀变速曲线运动,加速度大小为$4\text{ m/s}^{2}$,选项 A 错误,B、D 正确;$t = 0$时猴子的速度大小为$v_{0}=\sqrt{v_{0x}^{2}+v_{0y}^{2}}=\sqrt{4^{2}+8^{2}}\text{ m/s}=4\sqrt{5}\text{ m/s}$,选项 C 错误.
33.如图所示,质量为m = 1 kg的物体与水平地面之间的动摩擦因数为0.3,当物体运动的速度为10 m/s时,给物体施加一个与速度方向相反的大小为F = 2 N的恒力,在此恒力作用下(取g = 10 m/s²) ( )
A.物体经10 s速度减为零
B.物体经2 s速度减为零
C.物体速度减为零后将保持静止
D.物体速度减为零后将向右运动
A.物体经10 s速度减为零
B.物体经2 s速度减为零
C.物体速度减为零后将保持静止
D.物体速度减为零后将向右运动
答案:
BC 水平方向上物体受到向右的恒力和滑动摩擦力的作用,做匀减速直线运动. 滑动摩擦力大小为$F_{f}=\mu F_{N}=\mu mg = 3\text{ N}$,故$a=\frac{F + F_{f}}{m}=5\text{ m/s}^{2}$,方向向右,物体减速到 0 所需时间为$t=\frac{v_{0}}{a}=2\text{ s}$,故 B 正确,A 错误;减速到零后,由于$F<F_{f}$,物体处于静止状态,故 C 正确,D 错误.
34.在平直的公路上,汽车由静止开始做匀加速运动.当速度达到vₘ后,立即关闭发动机滑行直至停止.v - t图像如图所示,汽车的牵引力大小为F₁,摩擦力大小为F₂,全过程中,牵引力做的功为W₁,克服摩擦力做功为W₂.以下关系式正确的是 ( )
A.F₁∶F₂ = 1∶3
B.F₁∶F₂ = 4∶3
C.W₁∶W₂ = 1∶1
D.W₁∶W₂ = 1∶3
A.F₁∶F₂ = 1∶3
B.F₁∶F₂ = 4∶3
C.W₁∶W₂ = 1∶1
D.W₁∶W₂ = 1∶3
答案:
BC 对全过程由动能定理可知$W_{1}-W_{2}=0$,故$W_{1}:W_{2}=1:1$,故 C 正确,D 错误;$W_{1}=F_{1}s$,$W_{2}=F_{2}s'$,由题图可知$s:s'=3:4$,所以$F_{1}:F_{2}=4:3$,故 A 错误,B 正确.
35.某导体中的电流随其两端的电压变化,如图实线所示,则下列说法中正确的是 ( )
A.加5 V电压时,导体的电阻是0.2 Ω
B.加12 V电压时,导体的电阻是8 Ω
C.由图可知,随着电压增大,导体的电阻不断减小
D.由图可知,随着电压减小,导体的电阻不断减小
A.加5 V电压时,导体的电阻是0.2 Ω
B.加12 V电压时,导体的电阻是8 Ω
C.由图可知,随着电压增大,导体的电阻不断减小
D.由图可知,随着电压减小,导体的电阻不断减小
答案:
BD 加$5\text{ V}$的电压时,电流为$1.0\text{ A}$,则由欧姆定律可知,$R=\frac{U}{I}=\frac{5}{1}\Omega=5\Omega$,A 错误;加$12\text{ V}$的电压时,电流为$1.5\text{ A}$,则可得电阻为$R=\frac{U}{I}=\frac{12}{1.5}\Omega=8\Omega$,B 正确;由图可知,随电压的增大,图像的斜率减小,而图像斜率的倒数等于电阻,则可知导体的电阻越来越大,随着电压的减小,导体的电阻减小,C 错误,D 正确.
36.某光源放出波长在500 nm~600 nm之间的各种光子,若已知该光源的发光功率为1 mW,则它每秒钟发射的光子数可能是(普朗克常量h = 6.63×10⁻³⁴ J·s)( )
A.2.0×10¹⁵
B.3.0×10¹⁵
C.2.6×10¹⁵
D.1.5×10¹⁵
A.2.0×10¹⁵
B.3.0×10¹⁵
C.2.6×10¹⁵
D.1.5×10¹⁵
答案:
BC 每秒内该光源发光的能量$E_{光源}=Pt = 1\times10^{-3}\text{ J}$,而波长为$\lambda$的光子的能量为$\varepsilon = h\nu=\frac{hc}{\lambda}$,则每秒钟发射的光子数为$n=\frac{E_{光源}}{\varepsilon}=\frac{E_{光源}\lambda}{hc}$,代入数值得$2.5\times10^{15}\leqslant n\leqslant3.0\times10^{15}$,故 B、C 正确.
查看更多完整答案,请扫码查看