2025年对点对题高考状元训练手册高三物理人教版
注:目前有些书本章节名称可能整理的还不是很完善,但都是按照顺序排列的,请同学们按照顺序仔细查找。练习册 2025年对点对题高考状元训练手册高三物理人教版 答案主要是用来给同学们做完题方便对答案用的,请勿直接抄袭。
第24页
- 第1页
- 第2页
- 第3页
- 第4页
- 第5页
- 第6页
- 第7页
- 第8页
- 第9页
- 第10页
- 第11页
- 第12页
- 第13页
- 第14页
- 第15页
- 第16页
- 第17页
- 第18页
- 第19页
- 第20页
- 第21页
- 第22页
- 第23页
- 第24页
- 第25页
- 第26页
- 第27页
- 第28页
- 第29页
- 第30页
- 第31页
- 第32页
- 第33页
- 第34页
- 第35页
- 第36页
- 第37页
- 第38页
- 第39页
- 第40页
- 第41页
- 第42页
- 第43页
- 第44页
- 第45页
- 第46页
- 第47页
- 第48页
- 第49页
- 第50页
- 第51页
- 第52页
- 第53页
- 第54页
- 第55页
- 第56页
- 第57页
- 第58页
- 第59页
- 第60页
- 第61页
- 第62页
- 第63页
- 第64页
- 第65页
- 第66页
- 第67页
- 第68页
- 第69页
- 第70页
- 第71页
49.在一个匀强磁场中放置一根通电导线,导线方向与磁场垂直.先后在导线中通入不同的电流.下列图像能正确反映各物理量间关系的是 ( )

答案:
BC 匀强磁场中$B$恒定不变,故 B 正确,D 错误;由$F = BIl$知,$B$、$l$一定,$F$与$I$成正比,故 A 错误,C 正确。
50.如图所示,E、F分别表示蓄电池两极,P、Q分别表示螺线管两端.当闭合开关时,发现小磁针N极偏向螺线管Q端.下列判断正确的是 ( )

A.F为蓄电池正极
B.螺线管P端为S极
C.流过电阻R的电流方向向下
D.管内磁场方向由Q指向P
A.F为蓄电池正极
B.螺线管P端为S极
C.流过电阻R的电流方向向下
D.管内磁场方向由Q指向P
答案:
AD 闭合开关后,小磁针 N 极偏向螺线管$Q$端,说明小磁针所在位置磁场方向向左,即螺线管的$P$端为 N 极,$Q$端为 S 极,螺旋管内部的磁感应强度方向由$Q$指向$P$,由安培定则可知,电流从右端流出、左端流入,因此,电源的$F$为正极,$E$为负极,流过电阻$R$的电流方向向上,故 B、C 错误,A、D 正确。
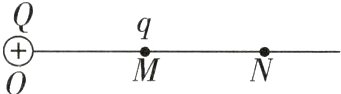
如图所示,在真空中的O点放一个电荷量Q=1×10⁻⁹ C的点电荷,直线MN过O点,OM=30 cm,M点放有一个电荷量q=-1×10⁻¹⁰ C的点电荷,k=9.0×10² N·m²/C²,求:
根据上述信息,完成51~53小题.
51.关于置于M点的点电荷所受的静电力的大小和方向说法正确的是 ( )
A.1×10⁻⁸ N,M→O
B.1×10⁸ N,M→O
C.1×10⁻⁸ N,O→M
D.1×10⁸ N,O→M
52.移走M点的点电荷后,有关M点的场强大小和方向说法正确的是 ( )
A.10 N/C,M→N
B.100 N/C,M→N
C.10 N/C,N→M
D.100 N/C,N→M
53.移走M点的点电荷后M、N两点的场强大小关系为 ( )
A.EM=EN
B.EM<EN
C.EM>EN
D.无法判断
根据上述信息,完成51~53小题.
51.关于置于M点的点电荷所受的静电力的大小和方向说法正确的是 ( )
A.1×10⁻⁸ N,M→O
B.1×10⁸ N,M→O
C.1×10⁻⁸ N,O→M
D.1×10⁸ N,O→M
52.移走M点的点电荷后,有关M点的场强大小和方向说法正确的是 ( )
A.10 N/C,M→N
B.100 N/C,M→N
C.10 N/C,N→M
D.100 N/C,N→M
53.移走M点的点电荷后M、N两点的场强大小关系为 ( )
A.EM=EN
B.EM<EN
C.EM>EN
D.无法判断
答案:
51. A 根据库仑定律得,置于$M$点的点电荷受到的静电力大小$F = k\frac{|Qq|}{OM^{2}} = 9.0×10^{9}×\frac{|1×10^{-9}×(-1×10^{-10})|}{0.3^{2}}\ N = 1×10^{-8}\ N$,方向为$M→O$,A 正确。
52. B 因为场强反映的是电场本身的特性,与有无检验电荷无关,所以移走$M$点的点电荷后,$O$点的点电荷形成的电场中$M$点的场强不变,此时$M$点的场强大小$E=\frac{F}{|q|}=\frac{1×10^{-8}}{|-1×10^{-10}|}\ N/C = 100\ N/C$,场强方向与负电荷所受电场力方向相反,即方向为$M→N$,B 正确。
53. C 根据点电荷的场强公式$E = k\frac{Q}{r^{2}}$,可知$E_{M}>E_{N}$,C 正确。
52. B 因为场强反映的是电场本身的特性,与有无检验电荷无关,所以移走$M$点的点电荷后,$O$点的点电荷形成的电场中$M$点的场强不变,此时$M$点的场强大小$E=\frac{F}{|q|}=\frac{1×10^{-8}}{|-1×10^{-10}|}\ N/C = 100\ N/C$,场强方向与负电荷所受电场力方向相反,即方向为$M→N$,B 正确。
53. C 根据点电荷的场强公式$E = k\frac{Q}{r^{2}}$,可知$E_{M}>E_{N}$,C 正确。
LED灯是一种半导体新型节能灯,已知某种型号的LED灯在一定电压范围内的工作电流是20 mA,在不同电压下发出不同颜色的光;当两端电压为1.8 V时,发黄光;当两端电压为1.4 V时,发红光;当两端电压为3.2 V时,发蓝光.
根据上述信息,完成54~56小题.
54.LED灯发黄光时消耗的电功率为 ( )
A.2.8×10⁻² W
B.3.6×10⁻² W
C.6.4×10⁻² W
D.1.8×10⁻² W
55.LED灯发红光时消耗的电功率为 ( )
A.2.8×10⁻² W
B.3.6×10⁻² W
C.1.4×10⁻² W
D.3.2×10⁻² W
56.广告牌上LED灯数量为10 000个/m²,那么一块8 m²的LED广告牌发红光时,需要供给的电功率为 ( )
A.2 880 W
B.2 240 W
C.0.224 W
D.22.4 W
根据上述信息,完成54~56小题.
54.LED灯发黄光时消耗的电功率为 ( )
A.2.8×10⁻² W
B.3.6×10⁻² W
C.6.4×10⁻² W
D.1.8×10⁻² W
55.LED灯发红光时消耗的电功率为 ( )
A.2.8×10⁻² W
B.3.6×10⁻² W
C.1.4×10⁻² W
D.3.2×10⁻² W
56.广告牌上LED灯数量为10 000个/m²,那么一块8 m²的LED广告牌发红光时,需要供给的电功率为 ( )
A.2 880 W
B.2 240 W
C.0.224 W
D.22.4 W
答案:
54. B LED 灯发黄光时消耗的电功率$P_{黄}=U_{黄}I = 1.8×20×10^{-3}\ W = 3.6×10^{-2}\ W$,B 正确。
55. A LED 灯发红光时消耗的电功率$P_{红}=U_{红}I = 1.4×20×10^{-3}\ W = 2.8×10^{-2}\ W$,A 正确。
56. B 总功率$P_{总}=nP_{红}=10000×8×2.8×10^{-2}\ W = 2240\ W$,B 正确。
55. A LED 灯发红光时消耗的电功率$P_{红}=U_{红}I = 1.4×20×10^{-3}\ W = 2.8×10^{-2}\ W$,A 正确。
56. B 总功率$P_{总}=nP_{红}=10000×8×2.8×10^{-2}\ W = 2240\ W$,B 正确。
如图所示的平行金属板电容器的电容为C=2×10⁻⁴ F,极板A、B之间可以看成匀强电场,场强E=1.2×10² V/m,极板间距离为L=5 cm,电场中c点到A板、d点到B板的距离均为0.5 cm,B板接地.
根据上述信息,完成57~60小题.
57.d点处的电势φd= ( )
A.6 V
B.-6 V
C.0.6 V
D.-0.6 V
58.B板所带电荷量Q为 ( )
A.1.2×10² C
B.1.2×10⁻² C
C.12 C
D.120 C
59.d、c两点间的电势差Udc为 ( )
A.36 V
B.40 V
C.48 V
D.50 V
60.将电荷量q=-5×10⁻⁶ C的带负电点电荷从d移到c,电场力做的功Wdc为 ( )
A.-2.4×10⁻⁴ J
B.2.4×10⁻⁴ J
C.-1.2×10⁻⁴ J
D.1.2×10⁻⁴ J
根据上述信息,完成57~60小题.
57.d点处的电势φd= ( )
A.6 V
B.-6 V
C.0.6 V
D.-0.6 V
58.B板所带电荷量Q为 ( )
A.1.2×10² C
B.1.2×10⁻² C
C.12 C
D.120 C
59.d、c两点间的电势差Udc为 ( )
A.36 V
B.40 V
C.48 V
D.50 V
60.将电荷量q=-5×10⁻⁶ C的带负电点电荷从d移到c,电场力做的功Wdc为 ( )
A.-2.4×10⁻⁴ J
B.2.4×10⁻⁴ J
C.-1.2×10⁻⁴ J
D.1.2×10⁻⁴ J
答案:
57. B $d$点到$B$板的电势差$U_{dB}=-Ed=-1200×0.005\ V = - 6\ V$,所以$\varphi_{d}=-6\ V$,B 正确。
58. B $B$、$A$间的电势差为:$U_{BA}=EL = 1200×0.05\ V = 60\ V$,$B$板所带电荷量$Q$为:$Q = CU_{BA}=2×10^{-4}×60\ C = 1.2×10^{-2}\ C$,B 正确。
59. C $L_{dc}=0.05m - 2×0.5×10^{-2}\ m = 0.04\ m$,$d$、$c$两点间的电势差为:$U_{dc}=EL_{dc}=48\ V$,C 正确。
60. A 电场力做功$W_{dc}=qU_{dc}=-2.4×10^{-4}\ J$,A 正确。
58. B $B$、$A$间的电势差为:$U_{BA}=EL = 1200×0.05\ V = 60\ V$,$B$板所带电荷量$Q$为:$Q = CU_{BA}=2×10^{-4}×60\ C = 1.2×10^{-2}\ C$,B 正确。
59. C $L_{dc}=0.05m - 2×0.5×10^{-2}\ m = 0.04\ m$,$d$、$c$两点间的电势差为:$U_{dc}=EL_{dc}=48\ V$,C 正确。
60. A 电场力做功$W_{dc}=qU_{dc}=-2.4×10^{-4}\ J$,A 正确。
查看更多完整答案,请扫码查看