2025年对点对题高考状元训练手册高三物理人教版
注:目前有些书本章节名称可能整理的还不是很完善,但都是按照顺序排列的,请同学们按照顺序仔细查找。练习册 2025年对点对题高考状元训练手册高三物理人教版 答案主要是用来给同学们做完题方便对答案用的,请勿直接抄袭。
第23页
- 第1页
- 第2页
- 第3页
- 第4页
- 第5页
- 第6页
- 第7页
- 第8页
- 第9页
- 第10页
- 第11页
- 第12页
- 第13页
- 第14页
- 第15页
- 第16页
- 第17页
- 第18页
- 第19页
- 第20页
- 第21页
- 第22页
- 第23页
- 第24页
- 第25页
- 第26页
- 第27页
- 第28页
- 第29页
- 第30页
- 第31页
- 第32页
- 第33页
- 第34页
- 第35页
- 第36页
- 第37页
- 第38页
- 第39页
- 第40页
- 第41页
- 第42页
- 第43页
- 第44页
- 第45页
- 第46页
- 第47页
- 第48页
- 第49页
- 第50页
- 第51页
- 第52页
- 第53页
- 第54页
- 第55页
- 第56页
- 第57页
- 第58页
- 第59页
- 第60页
- 第61页
- 第62页
- 第63页
- 第64页
- 第65页
- 第66页
- 第67页
- 第68页
- 第69页
- 第70页
- 第71页
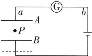
42. 如图所示,平行板电容器$A、B$间有一带电油滴$P$正好静止在极板正中间,现将$B$极板匀速向下移动到虚线位置,其他条件不变。则在$B$极板移动的过程中( )

A. 油滴将向下做匀加速运动
B. 电流计中电流由$b$流向$a$
C. 油滴运动的加速度逐渐变大
D. 极板带的电荷量减少
A. 油滴将向下做匀加速运动
B. 电流计中电流由$b$流向$a$
C. 油滴运动的加速度逐渐变大
D. 极板带的电荷量减少
答案:
42.CD 将B极板匀速向下移动时,两极板的距离增大,由于电势差U不变,则根据$E=\frac{U}{d}$知极板间的电场强度减小,油滴所受的电场力减小,电场力小于重力,油滴所受合力向下,油滴向下加速运动,加速度$a=\frac{mg - qE}{m}=g-\frac{qU}{md}$,由于q、U、m不变,d逐渐增大,则加速度a逐渐增大,油滴向下做加速度增大的加速运动,故C正确,A错误;电容器板间距离增大,则电容器的电容C减小,而板间电压U不变,则由$C=\frac{Q}{U}$,可知电容器所带电荷量Q减小,电容器放电,上极板带正电,则知电流计中电流由a流向b,故B 错误,D正确.
43. 如图所示的各图描述的是对给定的电容器充电时其电荷量$Q$、电势差$U$、电容$C$之间相互关系的图像,其中正确的是( )

答案:
43.CD 电容器的电容是由电容器本身决定的,与电容器所带电荷量Q的大小和两极板间的电势差U的大小无关,不能认为C与Q成正比,与U成反比,故选项D正确,A、B错误;对给定的电容器,其所带电荷量与极板间的电势差成正比,其比值即电容器的电容,故选项C正确.
44. 某同学按如图所示的电路进行实验,电压表内阻看作无限大。实验过程中,由于电路发生故障,发现两电压表示数相同,若这种情况的发生是由某一用电器引起的,则可能的故障原因是( )

A. $R_{2}$断开
B. $R_{3}$短路
C. $R_{2}$短路
D. $R_{1}$短路
A. $R_{2}$断开
B. $R_{3}$短路
C. $R_{2}$短路
D. $R_{1}$短路
答案:
44.AB 由题图可知$R_{1}$与$R_{2}、R_{3}$串联,电压表$V_{1}$测$R_{2}$和$R_{3}$的电压;$V_{2}$测$R_{2}$两端的电压;若两电压表示数变成相同,则是两电表接在了等电势的两端,故可能是$R_{2}$开路或者$R_{3}$短路;故A、B正确,C、D错误.
45.国庆期间小明去逛超市,遇促销打折买了一个电吹风,电吹风的使用说明书上给出了如表所示的参数及图示电路图.下列说法正确的是 ( )

|电吹风铭牌参数| |
|--|--|
|额定电压|220 V 50 Hz|
|额定功率| |
|热风|1 000 W|
|冷风|250 W|
A.该电吹风发热电阻R的阻值约为64.5 Ω
B.该电吹风电动机M的内阻为193.6 Ω
C.当开关S₁断开、S₂闭合时,电吹风吹冷风
D.当开关S₁、S₂均闭合时,电动机每秒钟消耗的电能为1 000 J
|电吹风铭牌参数| |
|--|--|
|额定电压|220 V 50 Hz|
|额定功率| |
|热风|1 000 W|
|冷风|250 W|
A.该电吹风发热电阻R的阻值约为64.5 Ω
B.该电吹风电动机M的内阻为193.6 Ω
C.当开关S₁断开、S₂闭合时,电吹风吹冷风
D.当开关S₁、S₂均闭合时,电动机每秒钟消耗的电能为1 000 J
答案:
AC 由表格可知发热电阻的功率$P_{R}=P - P_{M}=1000\ W - 250\ W = 750\ W$,所以该电吹风发热电阻$R$的阻值$R=\frac{U^{2}}{P_{R}}=\frac{220^{2}}{750}\ \Omega\approx64.5\ \Omega$,故 A 正确;电动机正常工作过程为非纯电阻,不能使用公式$R=\frac{U^{2}}{P_{M}}$计算电动机内阻,故 B 错误;由图可知当开关$S_{1}$断开、$S_{2}$闭合时,发热电阻断路,电动机工作,故吹冷风,故 C 正确;当开关$S_{1}$、$S_{2}$均闭合时,电动机正常工作,功率仍然为 250 W,故电动机每秒钟消耗的电能为$W = Pt = 250×1\ J = 250\ J$,故 D 错误。
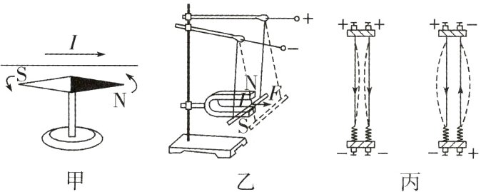
46.如图所示,关于磁体、电流间的相互作用,下列说法正确的是 ( )

A.图甲中,电流不产生磁场,电流对小磁针的作用力是通过小磁针的磁场产生的
B.图乙中,磁体对通电导线的作用力是通过磁体的磁场产生的
C.图丙中电流间的相互作用是通过电流的磁场产生的
D.图丙中电流间的相互作用是通过电荷的电场产生的
A.图甲中,电流不产生磁场,电流对小磁针的作用力是通过小磁针的磁场产生的
B.图乙中,磁体对通电导线的作用力是通过磁体的磁场产生的
C.图丙中电流间的相互作用是通过电流的磁场产生的
D.图丙中电流间的相互作用是通过电荷的电场产生的
答案:
BC 题图甲中,电流对小磁针的作用力是通过电流的磁场产生的;题图乙中,磁体对通电导线的作用力是通过磁体的磁场产生的;题图丙中,电流对另一个电流的作用力是通过该电流的磁场产生的。综上所述,选项 B、C 正确,A、D 错误。
47.如图是某品牌电动汽车的标识牌,以下说法正确的是 ( )
|整车型号|CH830BEV|
|--|--|
|最大设计总质量|1 800 kg|
|动力电池容量|60 A·h|
|驱动电机额定功率|30 kW|
|驱动电机型号|WXMP30LO|
|车辆设计代号VIN|LVFAD1A3440000003|
A.该电池的容量为60 A·h
B.该电池以6 A的电流放电,可以工作10 h
C.该电池以6 A的电流放电,可以工作60 h
D.该电池充完电可贮存的电荷量为60 C
|整车型号|CH830BEV|
|--|--|
|最大设计总质量|1 800 kg|
|动力电池容量|60 A·h|
|驱动电机额定功率|30 kW|
|驱动电机型号|WXMP30LO|
|车辆设计代号VIN|LVFAD1A3440000003|
A.该电池的容量为60 A·h
B.该电池以6 A的电流放电,可以工作10 h
C.该电池以6 A的电流放电,可以工作60 h
D.该电池充完电可贮存的电荷量为60 C
答案:
AB 从题图标识牌可知电池的容量为$60\ A\cdot h$,即以 6 A 的电流放电可工作 10 h,故 A、B 正确,C 错误;该电池充完电可贮存的电荷量$q = 60×3600\ C = 2.16×10^{5}\ C$,故 D 错误。
48.电冰箱能够不断地把热量从温度较低的冰箱内部传给温度较高的外界空气,下列说法正确的是 ( )
A.热量能自发地从低温物体传到高温物体
B.在一定条件下,热量可以从低温物体传到高温物体
C.热量的传递过程不具有方向性
D.在自发的条件下热量的传递过程具有方向性
A.热量能自发地从低温物体传到高温物体
B.在一定条件下,热量可以从低温物体传到高温物体
C.热量的传递过程不具有方向性
D.在自发的条件下热量的传递过程具有方向性
答案:
BD 自然界一切自发过程都有方向性,如热传导,热量总是由高温物体自发地传向低温物体;又如扩散,气体总是自发地由密度大的地方向密度小的地方扩散。在外界帮助下气体可以由密度小的地方向密度大的地方扩散,热量可以从低温物体传向高温物体,电冰箱就是借助外界做功把热量从低温物体传向高温物体,故选 B、D。
查看更多完整答案,请扫码查看