第12页
- 第1页
- 第2页
- 第3页
- 第4页
- 第5页
- 第6页
- 第7页
- 第8页
- 第9页
- 第10页
- 第11页
- 第12页
- 第13页
- 第14页
- 第15页
- 第16页
- 第17页
- 第18页
- 第19页
- 第20页
- 第21页
- 第22页
- 第23页
- 第24页
- 第25页
- 第26页
- 第27页
- 第28页
- 第29页
- 第30页
- 第31页
- 第32页
- 第33页
- 第34页
- 第35页
- 第36页
- 第37页
- 第38页
- 第39页
- 第40页
- 第41页
- 第42页
- 第43页
- 第44页
- 第45页
- 第46页
- 第47页
- 第48页
- 第49页
- 第50页
- 第51页
- 第52页
- 第53页
- 第54页
- 第55页
- 第56页
- 第57页
- 第58页
- 第59页
- 第60页
- 第61页
- 第62页
- 第63页
- 第64页
- 第65页
- 第66页
- 第67页
- 第68页
- 第69页
- 第70页
- 第71页
- 第72页
- 第73页
- 第74页
- 第75页
- 第76页
- 第77页
- 第78页
- 第79页
- 第80页
- 第81页
- 第82页
- 第83页
- 第84页
- 第85页
- 第86页
- 第87页
- 第88页
- 第89页
- 第90页
- 第91页
- 第92页
- 第93页
我们打开收音机的电源开关,调好频率,就能听到某广播电台播出的节目.原理是:广播发射塔发出无线电波,收音机对接收到的无线电波进行处理加工(滤波、放大等),然后通过扬声器发出声音.通常,我们对收音机从接收无线电波到发出声音的中间过程不需要了解,可以将收音机看成一个“黑箱”.这样就得到一个模型:
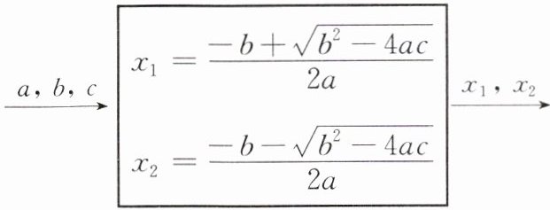
我们把求解一元二次方程$ax^{2}+bx+c= 0(a≠0)$的过程看成是一个黑箱模型,输入的量是a、b、c三个系数,而输出的是该方程的两个根$x_{1}和x_{2}$.若a、b、c分别输入1、1、-1,1、2、1,1、1、2三组数,则输出的结果分别是什么?

我们把求解一元二次方程$ax^{2}+bx+c= 0(a≠0)$的过程看成是一个黑箱模型,输入的量是a、b、c三个系数,而输出的是该方程的两个根$x_{1}和x_{2}$.若a、b、c分别输入1、1、-1,1、2、1,1、1、2三组数,则输出的结果分别是什么?
答案:
解:① 当a=1,b=-3,c=-1时,
$x_1=\frac {3+\sqrt{13}}2,$$x_2=\frac {3-\sqrt{13}}2$
② 当a=1,b=2,c=1时,$x_1=x_2=-1$
③ 当a=1,b=1,c=2时,
此时$b^2-4ac=-7<0,$方程无解
$x_1=\frac {3+\sqrt{13}}2,$$x_2=\frac {3-\sqrt{13}}2$
② 当a=1,b=2,c=1时,$x_1=x_2=-1$
③ 当a=1,b=1,c=2时,
此时$b^2-4ac=-7<0,$方程无解
例1 不解方程,判别下列方程根的情况:
(1)$5x^{2}-4x-3= 0$;
(2)$2x^{2}+3= 2\sqrt {6}x$;
(3)$3x^{2}+2x+1= 0$.
解 (1)$\because a= 5$,$b= -4$,$c= -3$,$b^{2}-4ac= (-4)^{2}-4×5×(-3)= 76>0$,
∴原方程有两个不相等的实数根.
(2)移项,得
$2x^{2}-2\sqrt {6}x+3= 0$.
$\because a= 2$,$b= -2\sqrt {6}$,$c= 3$,$b^{2}-4ac= (-2\sqrt {6})^{2}-4×2×3= 0$,
∴原方程有两个相等的实数根.
(3)$\because a= 3$,$b= 2$,$c= 1$,$b^{2}-4ac= 2^{2}-4×3×1= -8<0$,
∴原方程没有实数根.
说明 第(2)小题的方程有两个相等的实数根,不能说这个方程只有一个实数根.
(1)$5x^{2}-4x-3= 0$;
(2)$2x^{2}+3= 2\sqrt {6}x$;
(3)$3x^{2}+2x+1= 0$.
解 (1)$\because a= 5$,$b= -4$,$c= -3$,$b^{2}-4ac= (-4)^{2}-4×5×(-3)= 76>0$,
∴原方程有两个不相等的实数根.
(2)移项,得
$2x^{2}-2\sqrt {6}x+3= 0$.
$\because a= 2$,$b= -2\sqrt {6}$,$c= 3$,$b^{2}-4ac= (-2\sqrt {6})^{2}-4×2×3= 0$,
∴原方程有两个相等的实数根.
(3)$\because a= 3$,$b= 2$,$c= 1$,$b^{2}-4ac= 2^{2}-4×3×1= -8<0$,
∴原方程没有实数根.
说明 第(2)小题的方程有两个相等的实数根,不能说这个方程只有一个实数根.
答案:
例2 k取什么值时,关于x的方程$4x^{2}-12x+k= 0$有两个相等的实数根?求此时方程的根.
解 $\because$原方程有两个相等的实数根,
$\therefore b^{2}-4ac= 0$.
由$b^{2}-4ac= (-12)^{2}-4×4×k= 144-16k= 0$,得$k= 9$.
$\therefore k= 9$时,原方程有两个相等的实数根.
当$k= 9$时,$x_{1}= x_{2}= \frac {-b}{2a}= \frac {-(-12)}{2×4}= \frac {3}{2}$.
解 $\because$原方程有两个相等的实数根,
$\therefore b^{2}-4ac= 0$.
由$b^{2}-4ac= (-12)^{2}-4×4×k= 144-16k= 0$,得$k= 9$.
$\therefore k= 9$时,原方程有两个相等的实数根.
当$k= 9$时,$x_{1}= x_{2}= \frac {-b}{2a}= \frac {-(-12)}{2×4}= \frac {3}{2}$.
答案:
查看更多完整答案,请扫码查看