2025年新课程课堂同步练习册六年级数学上册人教版


注:目前有些书本章节名称可能整理的还不是很完善,但都是按照顺序排列的,请同学们按照顺序仔细查找。练习册 2025年新课程课堂同步练习册六年级数学上册人教版 答案主要是用来给同学们做完题方便对答案用的,请勿直接抄袭。



《2025年新课程课堂同步练习册六年级数学上册人教版》

1. $\frac{3}{5}+\frac{3}{5}+\frac{3}{5}= (
$\frac{3}{5}$
)×($
3
$)$ $\frac{4}{7}×4= (
$\frac{4}{7}$
)+(
$\frac{4}{7}$
)+(
$\frac{4}{7}$
)+(
$\frac{4}{7}$
)$
答案: $\frac{3}{5}$ 3 $\frac{4}{7}$ $\frac{4}{7}$ $\frac{4}{7}$ $\frac{4}{7}$
2. 求6个$\frac{1}{5}$相加的和,列式是(
$\frac{1}{5}×6$(或$\frac{1}{5}+\frac{1}{5}+\frac{1}{5}+\frac{1}{5}+\frac{1}{5}+\frac{1}{5}$)
)。
答案: $\frac{1}{5}×6$(或$\frac{1}{5}+\frac{1}{5}+\frac{1}{5}+\frac{1}{5}+\frac{1}{5}+\frac{1}{5}$)
3. 先在下图中涂出4个$\frac{2}{9}$,看看4个$\frac{2}{9}$是多少,再填空。

$\frac{2}{9}×4= \frac{($
2
$)×($
4
$)}{9}= \frac{($
8
$)}{($
9
$)}$
答案: 2 4 $\frac{8}{9}$
二、计算。
$\frac{1}{3}×2=$
$\frac{2}{3}$
$\frac{5}{17}×3=$
$\frac{15}{17}$
$\frac{5}{8}×4=$
$\frac{5}{2}$
$\frac{5}{6}×8=$
$\frac{20}{3}$
答案: $\frac{2}{3}$ $\frac{15}{17}$ $\frac{5}{2}$ $\frac{20}{3}$
三、小晶乘坐汽车前往文昌航天发射场观看火箭发射,汽车平均每分钟行驶$\frac{5}{6}$km,行驶54分钟到达目的地。汽车行驶的这段路程一共是多少千米?
答案: $\frac{5}{6}×54=45$(km)
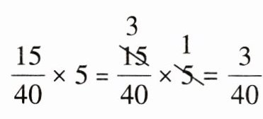
四、选择。(把正确答案的序号填在括号里),这个算式计算错误的原因是(
B
)。
A.整数与分母约分
B.整数与分子约分
C.整数与分子相乘
D.整数与分母相乘
答案: B
五、小林家到学校的距离是$\frac{7}{2}$km。每天上午7:30妈妈开车送小林去学校后返回家,11:20从家开车去学校接小林回家,下午2:00又从家开车送小林去学校后返回家,下午5:30再从家开车去学校接小林回家。妈妈每天开车接送小林一共行驶多少千米?
答案: $\frac{7}{2}×8=28$(km)

查看更多完整答案,请扫码查看

关闭