第4页
- 第1页
- 第2页
- 第3页
- 第4页
- 第5页
- 第6页
- 第7页
- 第8页
- 第9页
- 第10页
- 第11页
- 第12页
- 第13页
- 第14页
- 第15页
- 第16页
- 第17页
- 第18页
- 第19页
- 第20页
- 第21页
- 第22页
- 第23页
- 第24页
- 第25页
- 第26页
- 第27页
- 第28页
- 第29页
- 第30页
- 第31页
- 第32页
- 第33页
- 第34页
- 第35页
- 第36页
- 第37页
- 第38页
- 第39页
- 第40页
- 第41页
- 第42页
- 第43页
- 第44页
- 第45页
- 第46页
- 第47页
- 第48页
- 第49页
- 第50页
- 第51页
- 第52页
- 第53页
- 第54页
- 第55页
- 第56页
- 第57页
- 第58页
- 第59页
- 第60页
- 第61页
- 第62页
- 第63页
- 第64页
- 第65页
- 第66页
- 第67页
- 第68页
- 第69页
- 第70页
- 第71页
- 第72页
- 第73页
- 第74页
- 第75页
- 第76页
- 第77页
- 第78页
- 第79页
- 第80页
- 第81页
- 第82页
- 第83页
- 第84页
- 第85页
- 第86页
- 第87页
一、填空。
以下是小林写的3道计算题:

② $\frac{5}{14} × \frac{7}{10} = \frac{35}{140} = \frac{1}{4}$

1. 计算过程不够简便的算法是( )(填序号)。简便算法是______。
2. 计算错误的算式是( )(填序号)。正确算法是______。
以下是小林写的3道计算题:
② $\frac{5}{14} × \frac{7}{10} = \frac{35}{140} = \frac{1}{4}$
1. 计算过程不够简便的算法是( )(填序号)。简便算法是______。
2. 计算错误的算式是( )(填序号)。正确算法是______。
答案:
② $\frac{5}{14} × \frac{7}{10} = \frac{5 × 7}{14 × 10} = \frac{1}{4}$ 2 2
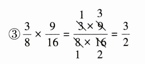
@@③ $\frac{3}{8} × \frac{9}{16} = \frac{27}{128}$
@@③ $\frac{3}{8} × \frac{9}{16} = \frac{27}{128}$
二、计算。
$\frac{13}{75} × 15 = $
$\frac{16}{21} × \frac{3}{8} = $
$\frac{13}{75} × 15 = $
$\frac{13}{5}$
$\frac{3}{28} × 7 = $$\frac{3}{4}$
$\frac{5}{9} × \frac{3}{25} = $$\frac{1}{15}$
$\frac{16}{21} × \frac{3}{8} = $
$\frac{2}{7}$
$\frac{22}{54} × \frac{27}{88} = $$\frac{1}{8}$
$\frac{5}{111} × \frac{3}{25} = $$\frac{1}{185}$
答案:
$\frac{13}{5}$ $\frac{3}{4}$ $\frac{1}{15}$ $\frac{2}{7}$ $\frac{1}{8}$ $\frac{1}{185}$
三、一只兔子奔跑的速度是每分钟$\frac{3}{5} km$。
1. 一只乌龟爬行的速度是这只兔子的$\frac{2}{75}$。这只乌龟每分钟爬多少千米?
2. 这只兔子40分钟能跑多少千米?
1. 一只乌龟爬行的速度是这只兔子的$\frac{2}{75}$。这只乌龟每分钟爬多少千米?
2. 这只兔子40分钟能跑多少千米?
答案:
1. $\frac{3}{5} × \frac{2}{75} = \frac{2}{125}(km)$ 2. $\frac{3}{5} × 40 = 24(km)$
四、在$◯$里填上“>”“<”或“=”。
$15 × \frac{4}{5} ◯$
$15 × \frac{4}{5} ◯$
>
$10$ $\frac{1}{2} × \frac{3}{4} ◯$<
$\frac{3}{4}$ $\frac{1}{3} × \frac{1}{4} ◯$=
$\frac{5}{6} × \frac{1}{10}$ $\frac{8}{15} × \frac{3}{4} ◯$<
$\frac{3}{25} × 5$
答案:
> < = <
五、有12道数学题,小亮已经做了9道,他做错的题数是没有做的题数的$\frac{1}{3}$。小亮利用课后服务时间向老师请教做错的题。小亮要向老师请教多少道题?
答案:
12 - 9 = 3(道) $3 × \frac{1}{3} = 1$(道)
查看更多完整答案,请扫码查看