第14页
- 第1页
- 第2页
- 第3页
- 第4页
- 第5页
- 第6页
- 第7页
- 第8页
- 第9页
- 第10页
- 第11页
- 第12页
- 第13页
- 第14页
- 第15页
- 第16页
- 第17页
- 第18页
- 第19页
- 第20页
- 第21页
- 第22页
- 第23页
- 第24页
- 第25页
- 第26页
- 第27页
- 第28页
- 第29页
- 第30页
- 第31页
- 第32页
- 第33页
- 第34页
- 第35页
- 第36页
- 第37页
- 第38页
- 第39页
- 第40页
- 第41页
- 第42页
- 第43页
- 第44页
- 第45页
- 第46页
- 第47页
- 第48页
- 第49页
- 第50页
- 第51页
- 第52页
- 第53页
- 第54页
- 第55页
- 第56页
- 第57页
- 第58页
- 第59页
- 第60页
- 第61页
- 第62页
- 第63页
- 第64页
- 第65页
- 第66页
- 第67页
- 第68页
- 第69页
- 第70页
- 第71页
- 第72页
- 第73页
- 第74页
- 第75页
- 第76页
- 第77页
- 第78页
- 第79页
- 第80页
- 第81页
- 第82页
- 第83页
- 第84页
- 第85页
- 第86页
- 第87页
- 第88页
- 第89页
- 第90页
- 第91页
- 第92页
- 第93页
- 第94页
- 第95页
- 第96页
- 第97页
- 第98页
- 第99页
- 第100页
- 第101页
- 第102页
- 第103页
- 第104页
- 第105页
- 第106页
- 第107页
- 第108页
- 第109页
- 第110页
- 第111页
- 第112页
- 第113页
- 第114页
- 第115页
- 第116页
- 第117页
- 第118页
- 第119页
- 第120页
- 第121页
- 第122页
- 第123页
- 第124页
- 第125页
测量小车运动的速度


刻度尺
$ v=\frac{s}{t} $
顶端
秒表
答案:
刻度尺 $ v=\frac{s}{t} $ 顶端 秒表
典例 在“测量小车运动速度”的实验中,装置如图所示,将小车从斜面上端$A点由静止释放到达B$点,用电子表记录小车的运动时间,图中的数字是秒表的显示(数字分别表示“小时:分:秒”)。

(1)该实验的原理是
(2)实验时应保持斜面倾角
(3)经测量,$s_1 = 120\ cm$,$s_2 = 60\ cm$,秒表记录如图所示,则小车在$BC$段上的平均速度是
(4)小车由$A$点静止释放,通过$B点的速度为v_1$,在第$3.5\ s时的速度为v_2$,则$v_1与v_2的大小关系是v_1$
(5)实验中全程平均速度$v_{AC}$,上半程的平均速度$v_{AB}$,下半程的平均速度$v_{BC}$,三者中最大的是
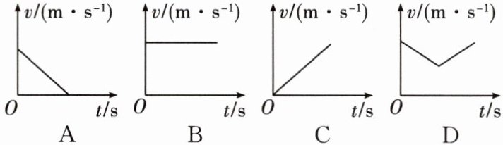
(6)如图,下列四个速度随时间的关系图像,能反映出小车下滑运动的是(

(7)实验前必须学会熟练使用秒表,如果让小车过了$A$点才开始计时,则会使所测$AB段的平均速度v_{AB}$
(8)斜面倾角不变,小车由静止释放,小车通过的路程越长,其平均速度越
(9)某次实验时,记录小车通过$B$点时的时间,是在小车通过了$B$点后才读的秒表,
(1)该实验的原理是
$ v=\frac{s}{t} $
。(2)实验时应保持斜面倾角
较小
(选填“较大”或“较小”),这是为了减小测量时间造成的误差。(3)经测量,$s_1 = 120\ cm$,$s_2 = 60\ cm$,秒表记录如图所示,则小车在$BC$段上的平均速度是
0.3
$m/s$。(4)小车由$A$点静止释放,通过$B点的速度为v_1$,在第$3.5\ s时的速度为v_2$,则$v_1与v_2的大小关系是v_1$
<
(选填“$>$”“$=$”或“$<$”)$v_2$。(5)实验中全程平均速度$v_{AC}$,上半程的平均速度$v_{AB}$,下半程的平均速度$v_{BC}$,三者中最大的是
$ v_{BC} $
。(6)如图,下列四个速度随时间的关系图像,能反映出小车下滑运动的是(
C
)。(7)实验前必须学会熟练使用秒表,如果让小车过了$A$点才开始计时,则会使所测$AB段的平均速度v_{AB}$
偏大
(选填“偏大”“偏小”或“无影响”)。(8)斜面倾角不变,小车由静止释放,小车通过的路程越长,其平均速度越
大
(选填“大”或“小”)。(9)某次实验时,记录小车通过$B$点时的时间,是在小车通过了$B$点后才读的秒表,
BC
(选填“$AB$”或“$BC$”)段所测量的平均速度偏大。
答案:
(1)$ v=\frac{s}{t} $
(2)较小
(3)0.3
(4)<
(5)$ v_{BC} $
(6)C
(7)偏大
(8)大
(9)BC
(1)$ v=\frac{s}{t} $
(2)较小
(3)0.3
(4)<
(5)$ v_{BC} $
(6)C
(7)偏大
(8)大
(9)BC
查看更多完整答案,请扫码查看