2025年海淀单元测试AB卷八年级物理下册沪粤版
注:目前有些书本章节名称可能整理的还不是很完善,但都是按照顺序排列的,请同学们按照顺序仔细查找。练习册 2025年海淀单元测试AB卷八年级物理下册沪粤版 答案主要是用来给同学们做完题方便对答案用的,请勿直接抄袭。
第98页
- 第1页
- 第2页
- 第3页
- 第4页
- 第5页
- 第6页
- 第7页
- 第8页
- 第9页
- 第10页
- 第11页
- 第12页
- 第13页
- 第14页
- 第15页
- 第16页
- 第17页
- 第18页
- 第19页
- 第20页
- 第21页
- 第22页
- 第23页
- 第24页
- 第25页
- 第26页
- 第27页
- 第28页
- 第29页
- 第30页
- 第31页
- 第32页
- 第33页
- 第34页
- 第35页
- 第36页
- 第37页
- 第38页
- 第39页
- 第40页
- 第41页
- 第42页
- 第43页
- 第44页
- 第45页
- 第46页
- 第47页
- 第48页
- 第49页
- 第50页
- 第51页
- 第52页
- 第53页
- 第54页
- 第55页
- 第56页
- 第57页
- 第58页
- 第59页
- 第60页
- 第61页
- 第62页
- 第63页
- 第64页
- 第65页
- 第66页
- 第67页
- 第68页
- 第69页
- 第70页
- 第71页
- 第72页
- 第73页
- 第74页
- 第75页
- 第76页
- 第77页
- 第78页
- 第79页
- 第80页
- 第81页
- 第82页
- 第83页
- 第84页
- 第85页
- 第86页
- 第87页
- 第88页
- 第89页
- 第90页
- 第91页
- 第92页
- 第93页
- 第94页
- 第95页
- 第96页
- 第97页
- 第98页
- 第99页
- 第100页
- 第101页
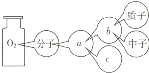
7. [模型构建](2024·济南章丘期末)知识梳理有助于我们对已学知识巩固,如图是某同学学习物质结构层次后,以氧气为例进行的梳理,下列选项中与a、b、c对应的是( )

A. 原子、原子核、核外电子
B. 原子核、原子、核外电子
C. 原子、核外电子、原子核
D. 核外电子、原子核、原子
A. 原子、原子核、核外电子
B. 原子核、原子、核外电子
C. 原子、核外电子、原子核
D. 核外电子、原子核、原子
答案:
A
8. 微观和宏观物体的大致尺度按从小到大顺序排列,正确的是( )
A. 电子——原子——生物体——太阳系——银河系
B. 电子——分子——生物体——银河系——太阳系
C. 原子——原子核——生物体——太阳系——银河系
D. 电子——原子核——生物体——银河系——太阳系
A. 电子——原子——生物体——太阳系——银河系
B. 电子——分子——生物体——银河系——太阳系
C. 原子——原子核——生物体——太阳系——银河系
D. 电子——原子核——生物体——银河系——太阳系
答案:
A
9. [跨学科实践]星空浩瀚无比,探索永无止境. 在中国空间站“天宫课堂”开展的第二次太空授课活动中,航天员王亚平用水将两个液桥板连接起来,搭建了一座液体桥,这说明( )
A. 分子间有空隙
B. 分子间存在引力
C. 分子间存在斥力
D. 分子在不停地运动
A. 分子间有空隙
B. 分子间存在引力
C. 分子间存在斥力
D. 分子在不停地运动
答案:
B
10. 宏观的热现象如果用微观的分子动理论去分析,常常会得到全新的认识. 以下说法不正确的是( )
A. 水的汽化速度与温度有关,温度越高水分子运动越快,“外逃”到空气中的速度就越快
B. 冰直接变成水蒸气属于升华现象,冰块内部的水分子并未停止运动,一段时间后,冰中的水分子“悄悄外逃到”空气中了
C. 气体能够被压缩说明分子间存在空隙
D. 固体或液体物质不会自动缩小体积说明构成它们的分子间不存在引力
A. 水的汽化速度与温度有关,温度越高水分子运动越快,“外逃”到空气中的速度就越快
B. 冰直接变成水蒸气属于升华现象,冰块内部的水分子并未停止运动,一段时间后,冰中的水分子“悄悄外逃到”空气中了
C. 气体能够被压缩说明分子间存在空隙
D. 固体或液体物质不会自动缩小体积说明构成它们的分子间不存在引力
答案:
B
11. 如图所示,将两个表面光滑的铅块相互紧压,它们会粘在一起,下方可以挂起重物. 该现象主要说明了( )

A. 分子间有空隙
B. 分子间存在引力
C. 分子间存在斥力
D. 分子处在永不停息的无规则运动中
A. 分子间有空隙
B. 分子间存在引力
C. 分子间存在斥力
D. 分子处在永不停息的无规则运动中
答案:
B
查看更多完整答案,请扫码查看