2025年海淀单元测试AB卷八年级物理下册沪粤版
注:目前有些书本章节名称可能整理的还不是很完善,但都是按照顺序排列的,请同学们按照顺序仔细查找。练习册 2025年海淀单元测试AB卷八年级物理下册沪粤版 答案主要是用来给同学们做完题方便对答案用的,请勿直接抄袭。
第33页
- 第1页
- 第2页
- 第3页
- 第4页
- 第5页
- 第6页
- 第7页
- 第8页
- 第9页
- 第10页
- 第11页
- 第12页
- 第13页
- 第14页
- 第15页
- 第16页
- 第17页
- 第18页
- 第19页
- 第20页
- 第21页
- 第22页
- 第23页
- 第24页
- 第25页
- 第26页
- 第27页
- 第28页
- 第29页
- 第30页
- 第31页
- 第32页
- 第33页
- 第34页
- 第35页
- 第36页
- 第37页
- 第38页
- 第39页
- 第40页
- 第41页
- 第42页
- 第43页
- 第44页
- 第45页
- 第46页
- 第47页
- 第48页
- 第49页
- 第50页
- 第51页
- 第52页
- 第53页
- 第54页
- 第55页
- 第56页
- 第57页
- 第58页
- 第59页
- 第60页
- 第61页
- 第62页
- 第63页
- 第64页
- 第65页
- 第66页
- 第67页
- 第68页
- 第69页
- 第70页
- 第71页
- 第72页
- 第73页
- 第74页
- 第75页
- 第76页
- 第77页
- 第78页
- 第79页
- 第80页
- 第81页
- 第82页
- 第83页
- 第84页
- 第85页
- 第86页
- 第87页
- 第88页
- 第89页
- 第90页
- 第91页
- 第92页
- 第93页
- 第94页
- 第95页
- 第96页
- 第97页
- 第98页
- 第99页
- 第100页
- 第101页
10. 如图甲,物体A、B叠放在一起,用力F将物体B压在粗糙、竖直的墙壁上,处于静止状态. 如图乙为物体A、B在竖直方向的受力情况,下列说法正确的是 ( )


A. F₁与F₂为一对平衡力
B. F₁与Gₐ为一对相互作用力
C. f的大小等于Gₐ和Gᵦ大小之和
D. 当压力F增大时,摩擦力f将增大
A. F₁与F₂为一对平衡力
B. F₁与Gₐ为一对相互作用力
C. f的大小等于Gₐ和Gᵦ大小之和
D. 当压力F增大时,摩擦力f将增大
答案:
C [解析]$F_{1}$与$F_{2}$大小相等、方向相反、作用在两个物体上、作用在同一条直线上,为一对相互作用力,A错误;$F_{1}$与$G_{A}$大小相等、方向相反、作用在同一个物体上、作用在同一条直线上,为一对平衡力,B错误;物体B处于平衡状态,在竖直方向上受到向上的力等于受到向下的力之和,故f的大小等于$G_{A}$和$G_{B}$大小之和,当压力F增大时,$G_{A}$和$G_{B}$大小之和不变,摩擦力f将不变,C正确,D错误.
11. 科学推理(2024·青岛自主招生)已知A、B两物体重力相等,用相同的细绳a、b把它们按如图所示方式悬挂,用力猛拉B物体和慢慢拉B物体时,细绳a、b的断开情况是 ( )

A. 都是a先断
B. 都是b先断
C. 用力猛拉a先断,慢慢拉b先断
D. 用力猛拉b先断,慢慢拉a先断
A. 都是a先断
B. 都是b先断
C. 用力猛拉a先断,慢慢拉b先断
D. 用力猛拉b先断,慢慢拉a先断
答案:
D[解析]当慢慢拉B物体时,由于a在上端,所受到的拉力始终比b要大,所以a先断;当猛拉B物体时,由于A物体具有惯性会保持原来的静止状态,在A还没有来得及改变原有的静止状态时,绳子b就已经断了,所以b先断故选D.
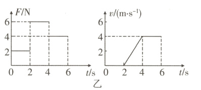
12. 如图甲所示,水平地面上的物体受到方向不变的水平推力F的作用,F的大小与时间t的关系和物体的速度v与时间t的关系如图乙所示,以下说法正确的是 ( )


A. 0~2 s,物体没有推动,是因为推力小于摩擦力
B. 2~4 s,物体做匀速直线运动
C. 2~4 s,物体受到的摩擦力是6 N
D. 4~6 s,物体受到的摩擦力与水平推力是一对平衡力
A. 0~2 s,物体没有推动,是因为推力小于摩擦力
B. 2~4 s,物体做匀速直线运动
C. 2~4 s,物体受到的摩擦力是6 N
D. 4~6 s,物体受到的摩擦力与水平推力是一对平衡力
答案:
D
13. 2022年12月,南京燕子矶长江隧道建成通车.
(1)隧道全长约5.7 _______(填单位).
(2)以隧道内正在行驶的车辆为参照物,隧道内的交通指示牌是_______的.
(3)一辆汽车以80 km/h的速度在隧道内匀速行驶3 min,通过的路程为_______ m.
(1)隧道全长约5.7 _______(填单位).
(2)以隧道内正在行驶的车辆为参照物,隧道内的交通指示牌是_______的.
(3)一辆汽车以80 km/h的速度在隧道内匀速行驶3 min,通过的路程为_______ m.
答案:
(1)km
(2)运动
(3)4000
(1)km
(2)运动
(3)4000
查看更多完整答案,请扫码查看