1 某探究小组利用如图所示装置进行下列四组实验。胶头滴管内盛装液体,烧瓶中盛装气体、固体或液体。挤压胶头滴入几滴液体后,能观察到气球胀大的是 ( )

答案:
C A(×):氢氧化钠溶于水放热,导致烧瓶中压强增大,气球缩小。B(×):稀盐酸和锌反应生成氯化锌和氢气,导致烧瓶中压强增大,气球缩小。C(√):氢氧化钠和二氧化碳反应生成碳酸钠和水,导致烧瓶中压强减小,气球胀大。D(×):浓硫酸溶于水放热,导致烧瓶中压强增大,气球缩小。
2 [创新实验][2024包头中考改编]向甲乙两个等体积充满CO₂的软塑料瓶中,分别倒入等体积的澄清石灰水与NaOH溶液(密度近似相等),拧紧瓶盖振荡后,现象如图所示。下列说法错误的是 ( )

A. 甲瓶注入的是澄清石灰水
B. 甲、乙瓶中均发生了化学反应
C. 甲、乙瓶变瘪的原因都是瓶内压强减小
D. Ca(OH)₂溶液浓度大于NaOH溶液浓度
A. 甲瓶注入的是澄清石灰水
B. 甲、乙瓶中均发生了化学反应
C. 甲、乙瓶变瘪的原因都是瓶内压强减小
D. Ca(OH)₂溶液浓度大于NaOH溶液浓度
答案:
D A、B、C(√):二氧化碳和氢氧化钠反应生成碳酸钠和水,二氧化碳和氢氧化钙反应生成碳酸钙沉淀和水,则甲瓶注入的是澄清石灰水,甲、乙瓶变瘪的原因都是瓶内压强减小。D(×):澄清石灰水与NaOH溶液的体积相等,密度近似相等,盛有氢氧化钠溶液的塑料瓶变瘪的程度大,NaOH溶液浓度大于Ca(OH)₂溶液浓度。
3 向一定温度、一定量的饱和氢氧化钙溶液中加入适量的氧化钙,下列图像符合实际变化过程的是 ( )

答案:
B A、D(×):向一定温度、一定量的饱和氢氧化钙溶液中加入适量的氧化钙,氧化钙与水反应生成氢氧化钙,同时放出热量,使溶液温度升高,温度升高,氢氧化钙的溶解度减小,同时溶液中的溶剂减少,均会导致氢氧化钙固体析出,溶质质量减小;反应结束,温度逐渐恢复至室温,氢氧化钙的溶解度随着温度的降低而增大,氢氧化钙的溶解度增大,溶液中溶质质量又开始增大,由于溶剂减少,所以溶液质量、溶质质量一定比反应前少。B(√):氧化钙与水反应放出大量的热,溶液温度升高,反应结束,温度恢复至室温,溶液温度与反应前相同。C(×):反应放出大量的热,氢氧化钙的溶解度减小,溶质质量分数减小;反应结束,溶液温度恢复至室温,氢氧化钙的溶解度逐渐增大,溶液的溶质质量分数逐渐增大至与反应前相等。
关键点拨
解题过程中需要注意以下三点:①氧化钙和水反应生成氢氧化钙;②反应放热;③氢氧化钙的溶解度随温度的升高而减小。
关键点拨
解题过程中需要注意以下三点:①氧化钙和水反应生成氢氧化钙;②反应放热;③氢氧化钙的溶解度随温度的升高而减小。
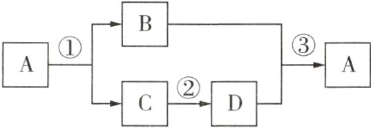
4 [新情境][2023河南中考]弘扬“红旗渠”精神,走强国富民之路。20世纪60年代,河南林县(今林州市)人民在太行山上修成了“人工天河”红旗渠。他们就地取材,利用石灰石烧制生石灰,A ~ D是生石灰烧制和使用过程中涉及的部分物质,它们之间的转化关系如图所示(“→”表示反应能一步实现,部分物质和反应条件已略去),其中D在农业生产中常用于改良酸性土壤。
(1) C的化学式为__________;反应②所属的基本反应类型为____________________。
(2) 反应③的化学方程式为________________;B在生产或生活中的一种用途为________________。
(1) C的化学式为__________;反应②所属的基本反应类型为____________________。
(2) 反应③的化学方程式为________________;B在生产或生活中的一种用途为________________。
答案:
(1)CaO 化合反应
(2)CO₂ + Ca(OH)₂ = CaCO₃↓ + H₂O 灭火(或光合作用、作气体肥料及化工产品的原料等)(合理即可)
[解析] 利用石灰石烧制生石灰的化学方程式为CaCO₃$\stackrel{高温}{=}$CaO + CO₂↑,D在农业生产中常用于改良酸性土壤,则D为Ca(OH)₂,故题中转化关系为:
(2)CO₂可用于灭火、制作碳酸饮料(汽水)、作为光合作用的原料(气体肥料)等。
(1)CaO 化合反应
(2)CO₂ + Ca(OH)₂ = CaCO₃↓ + H₂O 灭火(或光合作用、作气体肥料及化工产品的原料等)(合理即可)
[解析] 利用石灰石烧制生石灰的化学方程式为CaCO₃$\stackrel{高温}{=}$CaO + CO₂↑,D在农业生产中常用于改良酸性土壤,则D为Ca(OH)₂,故题中转化关系为:
(2)CO₂可用于灭火、制作碳酸饮料(汽水)、作为光合作用的原料(气体肥料)等。
5 [创新实验][2024菏泽中考]某兴趣小组利用图1装置,对“CO₂和NaOH溶液是否反应”进行数字化实验再探究。实验1:在盛满CO₂的烧瓶中滴加80 mL蒸馏水;实验2:在同样的烧瓶中滴加80 mL NaOH溶液。实验得到如图2所示曲线。下列说法不正确的是 ( )
A. 由实验1得到的图像是A曲线
B. A曲线中ab段上升是因为加液体使烧瓶内CO₂分子数增多
C. 该实验能证明CO₂与NaOH溶液发生了反应
D. 通过此实验说明,利用数字化实验可以实现对化学反应由定性到定量的研究

A. 由实验1得到的图像是A曲线
B. A曲线中ab段上升是因为加液体使烧瓶内CO₂分子数增多
C. 该实验能证明CO₂与NaOH溶液发生了反应
D. 通过此实验说明,利用数字化实验可以实现对化学反应由定性到定量的研究
答案:
B A(√):二氧化碳能溶于水,压强减小,但常温下二氧化碳的溶解度较小,所以压强变化不大;二氧化碳和氢氧化钠反应生成碳酸钠和水,二氧化碳减少的量更多,压强变化更大,所以A曲线表示实验1的变化。B(×):A曲线中ab段上升的原因是用注射器注入液体,压缩了烧瓶内的气体,使压强增大。C(√):B曲线表明二氧化碳减少更多,且二氧化碳与水的实验可排除二氧化碳溶于水对实验造成的影响,题给实验可以证明氢氧化钠与二氧化碳发生反应。D(√):通过此实验说明,由压强的变化量对比可得出化学反应的发生,故利用数字化实验可以实现对化学反应由定性到定量的研究。
查看更多完整答案,请扫码查看