1. 下列家用电器正常工作电流最接近250mA的是(
A.电子手表
B.电风扇
C.电视机
D.电饭锅
B
)A.电子手表
B.电风扇
C.电视机
D.电饭锅
答案:
B
2. 把两个电灯串联后接入电路中,发现两个电灯的亮暗程度不同,经测量通过较暗电灯的电流是0.4A,那么通过较亮电灯的电流将(
A.大于0.4A
B.小于0.4A
C.等于0.4A
D.无法确定
C
)A.大于0.4A
B.小于0.4A
C.等于0.4A
D.无法确定
答案:
C
3. 如图所示是某同学制作的一个导电性检测器。在导线间分别接入细铜丝、细铁丝、铅笔芯、橡皮等,闭合开关,观察小灯泡的亮度和电流表的示数。对上述实验解释正确的是(
A.小灯泡可防止电流过大,对电路起到保护作用
B.将细铜丝替换为细铁丝后,电流表示数一定减小
C.通过电流表示数变化判断导电性更好,小灯泡可去掉
D.将较长的铅笔芯接入电路,观察到灯不亮,说明铅笔芯是绝缘体
A
)A.小灯泡可防止电流过大,对电路起到保护作用
B.将细铜丝替换为细铁丝后,电流表示数一定减小
C.通过电流表示数变化判断导电性更好,小灯泡可去掉
D.将较长的铅笔芯接入电路,观察到灯不亮,说明铅笔芯是绝缘体
答案:
A
4. 如图所示,能够得出通过灯L₂电流的是(

A.
B.
C.
D.
D
)A.
B.
C.
D.
答案:
D
5. 关于如图所示的电表,下列说法中$\underline{不正确}$的是(
A.它是一个电压表
B.它的示数一定是1.7V
C.它的示数可能是8.5V
D.它有一个负接线柱和两个正接线柱
B
)A.它是一个电压表
B.它的示数一定是1.7V
C.它的示数可能是8.5V
D.它有一个负接线柱和两个正接线柱
答案:
B
6. 关于如图所示的实物电路,在开关S₁、S₂都闭合后,下列说法正确的是(
A.通过L₁与L₂的电流一定相等
B.通过L₁与L₂的电流一定不相等
C.L₁与L₂两端的电压一定相等
D.L₁与L₂两端的电压之和等于电源电压
C
)A.通过L₁与L₂的电流一定相等
B.通过L₁与L₂的电流一定不相等
C.L₁与L₂两端的电压一定相等
D.L₁与L₂两端的电压之和等于电源电压
答案:
C
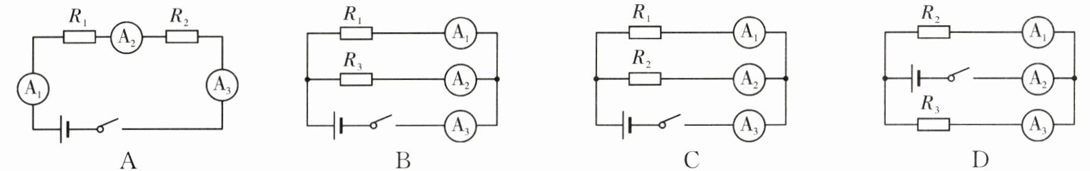
7. 在探究电路的电流规律实验时用了下图中的某个电路,已知R₁ = R₂ < R₃,电流表的读数分别是:A₁为0.3A、A₂为0.3A、A₃为0.6A。测量时的电路图应是(

A.
B.
C.
D.
C
)A.
B.
C.
D.
答案:
C
8. 如图所示的电路,开关闭合后,电压表V₁的示数是2.5V,电压表V₂的示数是4.5V,则电源电压是(
A.1.5V
B.2V
C.4.5V
D.7V
D
)A.1.5V
B.2V
C.4.5V
D.7V
答案:
D
9. 如图所示的电路,下列说法中正确的是(

A.灯L₁、L₂并联,电压表测电源电压
B.灯L₁、L₂串联,电压表测L₂两端的电压
C.若灯L₁短路,则电压表示数为零
D.若灯L₂短路,则电压表示数为3V
B
)A.灯L₁、L₂并联,电压表测电源电压
B.灯L₁、L₂串联,电压表测L₂两端的电压
C.若灯L₁短路,则电压表示数为零
D.若灯L₂短路,则电压表示数为3V
答案:
B
查看更多完整答案,请扫码查看