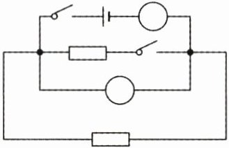
19. 如图所示电路,当开关闭合后,要使灯L₁、L₂串联,则a是

电压
表,b是电压
表。(均选填“电流”或“电压”)
答案:
电压 电压
20. 某同学在探究串联电路电流规律的实验中,按图连接好电路,闭合开关S后,两灯均不发光。为了检测电路故障,他做了以下操作:将电压表分别连接到电路中ab和ac两点之间,观察到电压表有明显示数,将电压表连接到bc两点,观察到电压表无示数,如果故障只发生在小灯上。据此判断,小灯L₁

一定
(选填“一定”或“可能”)开路,小灯L₂可能
(选填“一定”或“可能”)短路。
答案:
一定 可能
21. 导体的电阻是导体本身的一种性质,电阻的大小与导体的材料、长度、
横截面积
、温度
有关,与导体两端的电压和通过导体的电流
无关。
答案:
横截面积 温度 电流
22. 把很多二极管、三极管和电阻等电子元件做在芯片上,就成了集成电路,其中二极管、三极管是用

半导体
材料制成的。如图的两个水果组成的电池可使发光二极管发光。水果电池工作时将化学
能转化为电能;将发光二极管正、负极接线对调后,水果电池的正、负极之间有
(选填“有”或“没有”)电压。
答案:
半导体 化学 有
23. 如图所示电路,导线a的一端固定连接在铅笔芯上,当导线b的一端在铅笔芯上左右移动时,灯泡亮暗会发生变化,这个实验说明铅笔芯是
导体
(选填“导体”或“绝缘体”),还能说明导体的电阻与导体的长度
有关。受此启发,人们制造了一种可以改变电阻的元件,叫作滑动变阻器
。
答案:
导体 导体的长度 滑动变阻器
24. 滑动变阻器与小灯泡必须
串
联,才能实现通过它们的电流相等。如图所示,当将CD
接线柱接入电路时,不但不能改变电路中的电阻,而且接入电路的电阻很小,几乎是零。使用滑动变阻器时,在闭合开关前,先要将滑动变阻器滑片放在阻值最大
处。
答案:
串 CD 阻值最大
25. 如图甲所示,闭合开关S前,滑动变阻器的滑片P应滑到
四、作图题(每小题2分,共4分)

b
(选填“a”或“b”)端;闭合开关S,调节滑动变阻器,电流表A的示数如乙图所示,则通过灯L的电流为0.3
A。四、作图题(每小题2分,共4分)
答案:
b 0.3
26. 如图所示,两电阻并联,在电路图圆圈中填上“A”或“V”完善电流表和电压表的符号。

答案:
27. 如图所示为小华同学做“用电流表测电流”实验的电路,其中的电流表尚未连接好,请用笔画线代替导线在图中连接,使灯L₁和L₂并联,电流表测通过灯L₂的电流。

答案:
查看更多完整答案,请扫码查看