2025年智趣暑假作业云南科技出版社八年级数学华师大版
注:目前有些书本章节名称可能整理的还不是很完善,但都是按照顺序排列的,请同学们按照顺序仔细查找。练习册 2025年智趣暑假作业云南科技出版社八年级数学华师大版 答案主要是用来给同学们做完题方便对答案用的,请勿直接抄袭。
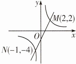
2. 已知一次函数$y = ax + b$的图象与反比例函数$y = \frac{k}{x}$的图象交于$M(2,2)$,$N(- 1,- 4)$两点,如图所示,根据图象写出反比例函数的值小于一次函数值时的$x$的取值范围

$-1<x<0$或$x>2$
。
答案:
$-1<x<0$或$x>2$
1. 如图,直线$l_{1}:y = x + 1与直线l_{2}:y = mx + n相交于点P(1,b)$。
(1)求$b$的值;
(2)不解关于$x$,$y的方程组\begin{cases}y = x + 1,\\y = mx + n,\end{cases} $请你直接写出它的解;
(3)直线$l_{3}:y = nx + m是否也经过点P$?请说明理由。

(1)求$b$的值;
(2)不解关于$x$,$y的方程组\begin{cases}y = x + 1,\\y = mx + n,\end{cases} $请你直接写出它的解;
(3)直线$l_{3}:y = nx + m是否也经过点P$?请说明理由。
答案:
(1)2
(2)$\left\{\begin{array}{l} x=1,\\ y=2\end{array}\right. $
(3)直线$l_{3}$经过点 P
(1)2
(2)$\left\{\begin{array}{l} x=1,\\ y=2\end{array}\right. $
(3)直线$l_{3}$经过点 P
2. 在全市中学运动会$800m$比赛中,甲、乙两名运动员同时起跑,刚跑出$200m$后,甲不慎摔倒,他又迅速地爬起来继续投入比赛,并取得了优异的成绩,下图分别表示甲、乙两名运动员所跑的路程$y(m)与比赛时间x(s)$之间的关系,根据图象解答下列问题:
(1)甲摔倒前,
(2)甲再次投入比赛后,在距离终点多远处追上乙?

(1)甲摔倒前,
甲
的速度快(填“甲”或“乙”);(2)甲再次投入比赛后,在距离终点多远处追上乙?
在距离终点$\frac {2400}{11}m$处追上乙
答案:
(1)甲
(2)在距离终点$\frac {2400}{11}m$处追上乙
(1)甲
(2)在距离终点$\frac {2400}{11}m$处追上乙
查看更多完整答案,请扫码查看