第70页
- 第1页
- 第2页
- 第3页
- 第4页
- 第5页
- 第6页
- 第7页
- 第8页
- 第9页
- 第10页
- 第11页
- 第12页
- 第13页
- 第14页
- 第15页
- 第16页
- 第17页
- 第18页
- 第19页
- 第20页
- 第21页
- 第22页
- 第23页
- 第24页
- 第25页
- 第26页
- 第27页
- 第28页
- 第29页
- 第30页
- 第31页
- 第32页
- 第33页
- 第34页
- 第35页
- 第36页
- 第37页
- 第38页
- 第39页
- 第40页
- 第41页
- 第42页
- 第43页
- 第44页
- 第45页
- 第46页
- 第47页
- 第48页
- 第49页
- 第50页
- 第51页
- 第52页
- 第53页
- 第54页
- 第55页
- 第56页
- 第57页
- 第58页
- 第59页
- 第60页
- 第61页
- 第62页
- 第63页
- 第64页
- 第65页
- 第66页
- 第67页
- 第68页
- 第69页
- 第70页
- 第71页
- 第72页
- 第73页
- 第74页
- 第75页
- 第76页
- 第77页
- 第78页
- 第79页
- 第80页
- 第81页
- 第82页
- 第83页
- 第84页
- 第85页
- 第86页
- 第87页
- 第88页
- 第89页
- 第90页
- 第91页
- 第92页
- 第93页
- 第94页
- 第95页
- 第96页
- 第97页
- 第98页
- 第99页
- 第100页
- 第101页
- 第102页
- 第103页
- 第104页
- 第105页
- 第106页
- 第107页
- 第108页
- 第109页
- 第110页
- 第111页
- 第112页
- 第113页
- 第114页
- 第115页
- 第116页
- 第117页
1. 下列选项中的两个单项式不是同类项的是( )
A.$-2与4$
B.$2m与3n$
C.$\frac{xy}{3}与5xy$
D.$3x^{2}y与-2yx^{2}$
A.$-2与4$
B.$2m与3n$
C.$\frac{xy}{3}与5xy$
D.$3x^{2}y与-2yx^{2}$
答案:
B
2. 下列运算中,正确的是( )
A.$3y^{2}-2y^{2}= 1$
B.$3a+2b= 5ab$
C.$3x^{2}+2x^{3}= 5x^{5}$
D.$-4x^{2}y+4yx^{2}= 0$
A.$3y^{2}-2y^{2}= 1$
B.$3a+2b= 5ab$
C.$3x^{2}+2x^{3}= 5x^{5}$
D.$-4x^{2}y+4yx^{2}= 0$
答案:
D
3. 已知代数式$-5a^{m+2}b^{6}和-ab^{3n}$是同类项,则$2m+3n$的值是( )
A.$-3$
B.$-4$
C.$-2$
D.$4$
A.$-3$
B.$-4$
C.$-2$
D.$4$
答案:
D 【点拨】因为代数式$-5a^{m+2}b^{6}$和$-ab^{3n}$是同类项,所以$m+2=1,6=3n$.所以$m=-1,n=2$.所以$2m+3n=2×(-1)+3×2=4.$
4. 若$A$是一个五次多项式,$B$是一个四次多项式,则$A-B$一定是( )
A.次数不超过五次的多项式
B.五次多项式或单项式
C.九次多项式
D.次数不低于五次的多项式
A.次数不超过五次的多项式
B.五次多项式或单项式
C.九次多项式
D.次数不低于五次的多项式
答案:
B
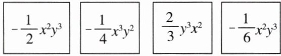
5. 如图,从标有单项式的四张卡片中找出所有能合并的同类项,若它们合并后的结果为$a$,则代数式$a^{2}+2a+1$的值为( )

A.$-1$
B.$0$
C.$1$
D.$2$
A.$-1$
B.$0$
C.$1$
D.$2$
答案:
C 【点拨】由题意得$a=-\frac {1}{2}x^{2}y^{3}+\frac {2}{3}y^{3}x^{2}-\frac {1}{6}x^{2}y^{3}=0$,所以$a^{2}+2a+1=1.$
6. 若整式$ax^{3}y-2xy^{b-1}+2x^{3}y-3化简后是关于x$,$y$的三次二项式,则$a^{b}$的值为( )
A.$-8$
B.$-16$
C.$8$
D.$16$
A.$-8$
B.$-16$
C.$8$
D.$16$
答案:
A 【点拨】$ax^{3}y-2xy^{b-1}+2x^{3}y-3=(a+2)x^{3}y-2xy^{b-1}-3$.因为$ax^{3}y-2xy^{b-1}+2x^{3}y-3$化简后是关于x,y的三次二项式,所以$a+2=0,1+b-1=3$,所以$a=-2,b=3$,所以$a^{b}=(-2)^{3}=-8.$
7. 新视角 结论开放题 请写出一个系数为负数且与$2xy^{2}$是同类项的单项式:______.
答案:
$-12xy^{2}$(答案不唯一)
8. 先化简,再求值:
(1)$3x^{2}y-2x^{2}y+x^{2}y$,其中$x= -1$,$y= 2$;
(2)$5m+2n-m-3n$,其中$m= 1$,$n= -4$.
(1)$3x^{2}y-2x^{2}y+x^{2}y$,其中$x= -1$,$y= 2$;
(2)$5m+2n-m-3n$,其中$m= 1$,$n= -4$.
答案:
(1)$3x^{2}y-2x^{2}y+x^{2}y=(3-2+1)x^{2}y=2x^{2}y.$当$x=-1,y=2$时,原式$=2×(-1)^{2}×2=4.$
(2)$5m+2n-m-3n=(5-1)m+(2-3)n=4m-n.$当$m=1,n=-4$时,原式$=4×1-(-4)=8.$
(1)$3x^{2}y-2x^{2}y+x^{2}y=(3-2+1)x^{2}y=2x^{2}y.$当$x=-1,y=2$时,原式$=2×(-1)^{2}×2=4.$
(2)$5m+2n-m-3n=(5-1)m+(2-3)n=4m-n.$当$m=1,n=-4$时,原式$=4×1-(-4)=8.$
9. 若$2x^{a+1}y与x^{2}y^{b-1}$的和仍是单项式,则$a+b$的值是( )
A.$0$
B.$1$
C.$2$
D.$3$
A.$0$
B.$1$
C.$2$
D.$3$
答案:
B
10. [2025 北京海淀区期中] 关于$x$,$y$的单项式,若$x的指数与y$的指数是相等的正
①$-2x^{3}y^{3}$是“等次单项式”;
②“等次单项式”的次数可能是奇数;
③两个次数相等的“等次单项式”的和一定是“等次单项式”;
④若五个“等次单项式”的次数均不高于$8$,则它们中必有同类项.
上述结论中,所有正确结论的序号是( )
A.①③
B.①④
C.②③
D.②④
整
数,则称该单项式是“等次单项式”,如$x^{2}y^{2}$,$-3xy$.给出下面四个结论:①$-2x^{3}y^{3}$是“等次单项式”;
②“等次单项式”的次数可能是奇数;
③两个次数相等的“等次单项式”的和一定是“等次单项式”;
④若五个“等次单项式”的次数均不高于$8$,则它们中必有同类项.
上述结论中,所有正确结论的序号是( )
A.①③
B.①④
C.②③
D.②④
答案:
$(4m+4)$【点拨】由题意得,乙配送车投送$(m+6)$件,丙配送车投送$(2m-2)$件,所以$m+(m+6)+(2m-2)=(4m+4)$件.
11. 情境题 生活应用 邮政员工将快递包裹装进无人物流配送车车厢内,轻点显示屏操作后,无人车按照系统预设的线路自动上路行驶,并将快递投送到指定快递自提点.已知某天甲配送车投送快递$m$件,乙配送车比甲配送车多投送$6$件,丙配送车投送的件数比甲配送车的$2倍少2$件,则这$3$辆配送车这一天共投送快递______件.
答案:
1 【点拨】$3mx^{2}-ny+3y-5+6x^{2}=(3m+6)x^{2}-(n-3)y-5$.因为式子$3mx^{2}-ny+3y-5+6x^{2}$的值与x,y的取值无关,所以$3m+6=0,-(n-3)=0$,所以$m=-2,n=3$,所以$(m+n)^{2025}=(-2+3)^{2025}=1^{2025}=1.$
12. [2025 北京五中分校期中] 若式子$3mx^{2}-ny+3y-5+6x^{2}的值与x$,$y$的取值无关,则$(m+n)^{2025}$的值为______.
答案:
-3
查看更多完整答案,请扫码查看