第42页
- 第1页
- 第2页
- 第3页
- 第4页
- 第5页
- 第6页
- 第7页
- 第8页
- 第9页
- 第10页
- 第11页
- 第12页
- 第13页
- 第14页
- 第15页
- 第16页
- 第17页
- 第18页
- 第19页
- 第20页
- 第21页
- 第22页
- 第23页
- 第24页
- 第25页
- 第26页
- 第27页
- 第28页
- 第29页
- 第30页
- 第31页
- 第32页
- 第33页
- 第34页
- 第35页
- 第36页
- 第37页
- 第38页
- 第39页
- 第40页
- 第41页
- 第42页
- 第43页
- 第44页
- 第45页
- 第46页
- 第47页
- 第48页
- 第49页
- 第50页
- 第51页
- 第52页
- 第53页
- 第54页
- 第55页
- 第56页
- 第57页
- 第58页
- 第59页
- 第60页
- 第61页
- 第62页
- 第63页
- 第64页
- 第65页
- 第66页
- 第67页
- 第68页
- 第69页
- 第70页
- 第71页
- 第72页
- 第73页
- 第74页
- 第75页
- 第76页
- 第77页
- 第78页
- 第79页
- 第80页
- 第81页
- 第82页
- 第83页
- 第84页
- 第85页
- 第86页
- 第87页
- 第88页
- 第89页
- 第90页
- 第91页
- 第92页
- 第93页
- 第94页
- 第95页
- 第96页
- 第97页
- 第98页
- 第99页
- 第100页
- 第101页
- 第102页
- 第103页
- 第104页
- 第105页
- 第106页
- 第107页
- 第108页
- 第109页
- 第110页
- 第111页
- 第112页
- 第113页
- 第114页
- 第115页
- 第116页
- 第117页
1. 下列说法正确的是( )
A.$-2^{8}的底数是-2$
B.$2^{5}$表示5个2相加
C.$(-\frac{2}{3})^{3}的底数是-\frac{2}{3}$
D.$(-3)^{3}与-3^{3}$的意义相同
A.$-2^{8}的底数是-2$
B.$2^{5}$表示5个2相加
C.$(-\frac{2}{3})^{3}的底数是-\frac{2}{3}$
D.$(-3)^{3}与-3^{3}$的意义相同
答案:
C 【点拨】$-2^{8}$的底数是2;$2^{5}$表示5个2相乘;$(-\frac {2}{3})^{3}$的底数是$-\frac {2}{3}$;$(-3)^{3}$与$-3^{3}$的意义不相同.
2. 与下面科学计算器的按键顺序:

对应的计算任务是( )
A.$0.6×\frac{6}{5}+12^{4}$
B.$0.6×\frac{5}{6}+12^{4}$
C.$0.6×5÷6+4^{12}$
D.$0.6×\frac{6}{5}+4^{12}$
对应的计算任务是( )
A.$0.6×\frac{6}{5}+12^{4}$
B.$0.6×\frac{5}{6}+12^{4}$
C.$0.6×5÷6+4^{12}$
D.$0.6×\frac{6}{5}+4^{12}$
答案:
B
3. 当$n$是正整数时,$(-1)^{2n+1}-(-1)^{2n}$的值是( )
A.2
B.$-2$
C.0
D.2或$-2$
A.2
B.$-2$
C.0
D.2或$-2$
答案:
B
4. 下列各组数中,运算结果相等的是( )
A.$(-5)^{3}与-5^{3}$
B.$2^{3}与3^{2}$
C.$-2^{2}与(-2)^{2}$
D.$(\frac{3}{4})^{2}与\frac{3^{2}}{4}$
A.$(-5)^{3}与-5^{3}$
B.$2^{3}与3^{2}$
C.$-2^{2}与(-2)^{2}$
D.$(\frac{3}{4})^{2}与\frac{3^{2}}{4}$
答案:
A 【点拨】因为$(-5)^{3}=-125$,$-5^{3}=-125$,所以$(-5)^{3}=-5^{3}$;因为$2^{3}=8$,$3^{2}=9$,所以$2^{3}≠3^{2}$;因为$-2^{2}=-4$,$(-2)^{2}=4$,所以$-2^{2}≠(-2)^{2}$;因为$(\frac {3}{4})^{2}=\frac {9}{16}$,$\frac {3^{2}}{4}=\frac {9}{4}$,所以$(\frac {3}{4})^{2}≠\frac {3^{2}}{4}$.故选A.
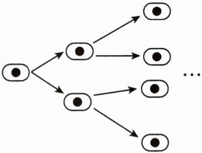
5. 如图,某种细胞每过30min便由1个分裂成2个.经过6h,这种细胞能由1个分裂成( )

A.12个
B.$12^{2}$个
C.$2^{6}$个
D.$2^{12}$个
A.12个
B.$12^{2}$个
C.$2^{6}$个
D.$2^{12}$个
答案:
D 【点拨】因为细胞每过30 min便由1个分裂成2个,所以1 h分裂2次,所以6 h分裂$2×6 = 12$(次).一个细胞第1次分裂成2个,即$2^{1}$个,第2次分裂成4个,即$2^{2}$个,第3次分裂成8个,即$2^{3}$个,由上述规律可知,此细胞分裂12次分裂成$2^{12}$个.
6. 已知$a= -0.3^{2}$,$b= (-1)^{2}$,$c= (-\frac{1}{3})^{2}$,$a$,$b$,$c$的大小关系为______(用“<”连接).
答案:
$a < c < b$ 【点拨】因为$a = -0.3^{2} = -0.09$,$b = (-1)^{2} = 1$,$c = (-\frac {1}{3})^{2} = \frac {1}{9}$,所以$a < c < b$.
7. 计算:
(1)$(-5)^{4}$;
(2)$-4^{5}$;
(3)$(-\frac{2}{3})^{3}$;
(4)$(-1\frac{1}{2})^{4}$;
(5)$(-1)^{2025}$.
(1)$(-5)^{4}$;
(2)$-4^{5}$;
(3)$(-\frac{2}{3})^{3}$;
(4)$(-1\frac{1}{2})^{4}$;
(5)$(-1)^{2025}$.
答案:
【解】
(1)$(-5)^{4}=(-5)×(-5)×(-5)×(-5)=625$.
(2)$-4^{5}=-(4×4×4×4×4)=-1024$.
(3)$(-\frac {2}{3})^{3}=(-\frac {2}{3})×(-\frac {2}{3})×(-\frac {2}{3})=-\frac {8}{27}$.
(4)$(-1\frac {1}{2})^{4}=(-\frac {3}{2})^{4}=(-\frac {3}{2})×(-\frac {3}{2})×(-\frac {3}{2})×(-\frac {3}{2})=\frac {81}{16}$.
(5)$(-1)^{2025}=\underbrace{(-1)×(-1)×(-1)×... ×(-1)}_{2025个 - 1}=-1$.
(1)$(-5)^{4}=(-5)×(-5)×(-5)×(-5)=625$.
(2)$-4^{5}=-(4×4×4×4×4)=-1024$.
(3)$(-\frac {2}{3})^{3}=(-\frac {2}{3})×(-\frac {2}{3})×(-\frac {2}{3})=-\frac {8}{27}$.
(4)$(-1\frac {1}{2})^{4}=(-\frac {3}{2})^{4}=(-\frac {3}{2})×(-\frac {3}{2})×(-\frac {3}{2})×(-\frac {3}{2})=\frac {81}{16}$.
(5)$(-1)^{2025}=\underbrace{(-1)×(-1)×(-1)×... ×(-1)}_{2025个 - 1}=-1$.
8. 某软件等级用四个标识图展示,从低到高分别为星星、月亮、太阳、皇冠,采用“满四进一”制,一开始是星星,一个星星为1级,4个星星等于一个月亮,4个月亮等于一个太阳,4个太阳等于一个皇冠,某用户的等级标识图为2个皇冠,则其等级为( )
A.$2^{6}$
B.$2^{7}$
C.$2^{8}$
D.$2^{9}$
A.$2^{6}$
B.$2^{7}$
C.$2^{8}$
D.$2^{9}$
答案:
B 【点拨】由题意得两个皇冠的等级是$2×4×4×4=2×2×2×2×2×2×2=2^{7}$,即其使用等级为$2^{7}$.
9. 如图,将面积为1的长方形纸片分割成8个部分,图形①的面积是原长方形纸片面积的一半,图形②的面积是图形①面积的一半,图形③的面积是图形②面积的一半,…,依次类推,则阴影部分的面积为( )

A.$1-\frac{1}{2^{7}}$
B.$1-\frac{1}{2^{8}}$
C.$\frac{1}{2^{7}}$
D.$\frac{1}{2^{8}}$
A.$1-\frac{1}{2^{7}}$
B.$1-\frac{1}{2^{8}}$
C.$\frac{1}{2^{7}}$
D.$\frac{1}{2^{8}}$
答案:
C
10. 观察下列等式:$7^{0}= 1$,$7^{1}= 7$,$7^{2}= 49$,$7^{3}= 343$,$7^{4}= 2401$,$7^{5}= 16807$,…,根据其中的规律可得$7^{2025}$的个位数字是( )
A.1
B.7
C.9
D.3
A.1
B.7
C.9
D.3
答案:
A 【点拨】因为$7^{0}=1$,$7^{1}=7$,$7^{2}=49$,$7^{3}=343$,$7^{4}=2401$,$7^{5}=16807$,…,所以个位数字的规律是以1,7,9,3这4个数为一个循环周期.因为$2026÷4 = 506……1$,所以$7^{2025}$的个位数字与$7^{1}$的个位数字相同,为1.
查看更多完整答案,请扫码查看