4. 把直线 $ l $:$ y = - \frac { 1 } { 3 } x $,向上平移 2 个单位长度得到直线 $ l ^ { \prime } $,则 $ l ^ { \prime } $ 的表达式为(
A. $ y = - \frac { 1 } { 3 } x + 2 $
B. $ y = - \frac { 1 } { 3 } x - 2 $
C. $ y = \frac { 1 } { 3 } x + 2 $
D. $ y = \frac { 1 } { 3 } x - 2 $
A
).A. $ y = - \frac { 1 } { 3 } x + 2 $
B. $ y = - \frac { 1 } { 3 } x - 2 $
C. $ y = \frac { 1 } { 3 } x + 2 $
D. $ y = \frac { 1 } { 3 } x - 2 $
答案:
A
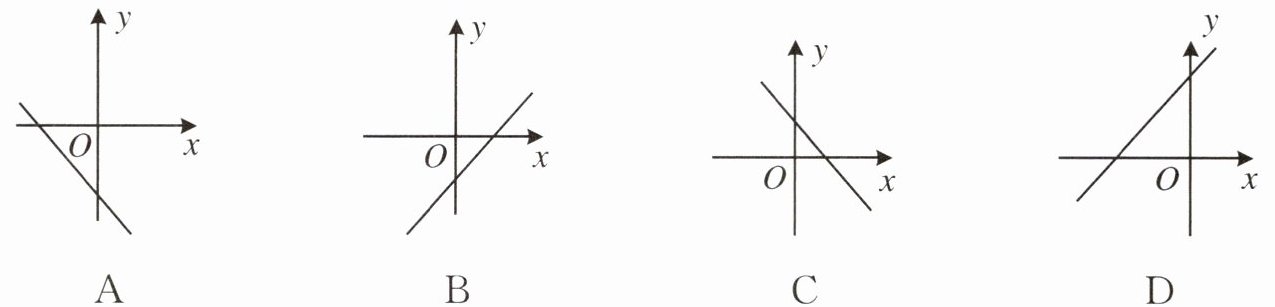
5. 若 $ k > 0 $,则一次函数 $ y = kx + 2 $ 的图象可能是(

D
).
答案:
D
6. 如图 1,直线 $ y = kx + b ( k \neq 0 ) $ 经过点 $ P ( - 3,2 ) $,则关于 $ x $ 的方程 $ kx + b = 2 $ 的解是(

A. $ x = 1 $
B. $ x = 2 $
C. $ x = - 3 $
D. 无法确定
C
).A. $ x = 1 $
B. $ x = 2 $
C. $ x = - 3 $
D. 无法确定
答案:
C
7. 如图 2,在平面直角坐标系中,$ A $,$ B $ 两点的坐标分别为 $ ( a,8 ) $,$ ( 5,b ) $,则点 $ C ( 7 - a,b - 9 ) $ 所在的象限是(

A. 第一象限
B. 第二象限
C. 第三象限
D. 第四象限
D
).A. 第一象限
B. 第二象限
C. 第三象限
D. 第四象限
答案:
D
8. 如图 3,三个正比例函数的图象分别对应的解析式是① $ y = ax $,② $ y = bx $,③ $ y = cx $,则 $ a $,$ b $,$ c $ 的大小关系是(

A. $ a > b > c $
B. $ c > b > a $
C. $ b > a > c $
D. $ b > c > a $
C
).A. $ a > b > c $
B. $ c > b > a $
C. $ b > a > c $
D. $ b > c > a $
答案:
C
查看更多完整答案,请扫码查看