2026年点金训练精讲巧练高中生物选择性必修2人教版
注:目前有些书本章节名称可能整理的还不是很完善,但都是按照顺序排列的,请同学们按照顺序仔细查找。练习册 2026年点金训练精讲巧练高中生物选择性必修2人教版 答案主要是用来给同学们做完题方便对答案用的,请勿直接抄袭。
第71页
- 第1页
- 第2页
- 第3页
- 第4页
- 第5页
- 第6页
- 第7页
- 第8页
- 第9页
- 第10页
- 第11页
- 第12页
- 第13页
- 第14页
- 第15页
- 第16页
- 第17页
- 第18页
- 第19页
- 第20页
- 第21页
- 第22页
- 第23页
- 第24页
- 第25页
- 第26页
- 第27页
- 第28页
- 第29页
- 第30页
- 第31页
- 第32页
- 第33页
- 第34页
- 第35页
- 第36页
- 第37页
- 第38页
- 第39页
- 第40页
- 第41页
- 第42页
- 第43页
- 第44页
- 第45页
- 第46页
- 第47页
- 第48页
- 第49页
- 第50页
- 第51页
- 第52页
- 第53页
- 第54页
- 第55页
- 第56页
- 第57页
- 第58页
- 第59页
- 第60页
- 第61页
- 第62页
- 第63页
- 第64页
- 第65页
- 第66页
- 第67页
- 第68页
- 第69页
- 第70页
- 第71页
- 第72页
- 第73页
- 第74页
- 第75页
- 第76页
- 第77页
- 第78页
- 第79页
- 第80页
- 第81页
- 第82页
- 第83页
- 第84页
- 第85页
- 第86页
- 第87页
11. 下图为某人工高密度鱼塘的主要能量流动图解,其中 $ a $、$ b $、$ c $、$ d $ 为同化量。下列叙述正确的是( )

A.鱼种甲摄入的植物中的能量为 $ a $
B.鱼种甲和鱼种乙间的能量传递效率为 $ (b + d)/(a + c) $
C.鱼塘中的鱼在不同水层生活与植物有关
D.若由人为捕捞导致鱼种乙的数量大量减少,则一段时间内植物的数量会增加
A.鱼种甲摄入的植物中的能量为 $ a $
B.鱼种甲和鱼种乙间的能量传递效率为 $ (b + d)/(a + c) $
C.鱼塘中的鱼在不同水层生活与植物有关
D.若由人为捕捞导致鱼种乙的数量大量减少,则一段时间内植物的数量会增加
答案:
C 解析:由题干知,a为同化量,不是摄入量,A 错误;鱼种甲和鱼种乙间的能量传递效率为b/(a十c)×100%,B错误;鱼塘中的鱼因为食物不同,所以在鱼塘不同水层觅食,故不同水层生活与植物有关,C正确;若由人为捕捞导致鱼种乙的数量大量减少,则鱼种甲的数量增多,植物的数量会减少,D错误。
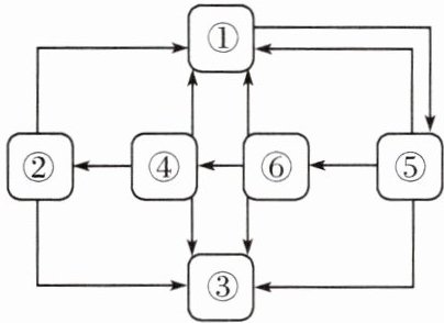
12. 下图表示某生态系统中各成分之间的关系,②④⑥均为消费者,据图分析正确的是( )

A.⑤表示生产者,缺少的箭头是③→①
B.图中最长的一条食物链是⑤→⑥→④→②→③,其中③可利用的能量最少
C.若②获得的总能量为 $ b kJ $,则最少需要生产者固定 $ 1000b kJ $ 能量
D.若减少⑤的数量,将有助于缓解温室效应
A.⑤表示生产者,缺少的箭头是③→①
B.图中最长的一条食物链是⑤→⑥→④→②→③,其中③可利用的能量最少
C.若②获得的总能量为 $ b kJ $,则最少需要生产者固定 $ 1000b kJ $ 能量
D.若减少⑤的数量,将有助于缓解温室效应
答案:
A 解析:根据题图中①和⑤之间为双向箭头且其他字母均有箭头指向①可知,①是非生物的物质和能量,③为分解者,⑤为生产者,②④⑥为各级消费者,题图中5→⑥→④→②为一条食物链。⑤表示生产者,③为分解者,分解者应该有箭头指向非生物环境①,题图中缺少的箭头是③→①,A正确。③为分解者,食物链中不包括分解者,B错误。题图中食物链为⑤→⑥→④→②,若②获得的总能量为bkJ,求生产者至少固定的能量,应按照能量传递效率20%计算,则最少需要生产者固定b÷20%÷20%÷20%=125bkJ能量,C错误。⑤为生产者,能吸收二氧化碳,所以增加⑤的数量,才能有助于缓解温室效应,D错误。
13. 下图是一个农田生态系统中的两条主要的食物链。如果蛇的食物 $ 1/2 $ 来自鼠,$ 1/2 $ 来自蛙,而能量的传递效率为 $ 10\% $,那么蛇每同化 $ 1 kJ $ 的能量,需消耗水稻的能量为( )

A.$ 25 kJ $
B.$ 5.5 kJ $
C.$ 55 kJ $
D.$ 550 kJ $
A.$ 25 kJ $
B.$ 5.5 kJ $
C.$ 55 kJ $
D.$ 550 kJ $
答案:
D 解析:蛇同化的1kJ能量中有0.5kJ来自鼠,在水稻→鼠→蛇这条食物链中,蛇是第三营养级,蛇同化0.5kJ能量需要消耗水稻的能量为0.5÷10%÷10%=50kJ;同理得另一条食物链中消耗水稻的能量为0.5÷10%÷10%÷10%=500kJ,故蛇每同化1kJ的能量,需要消耗水稻的能量为50+500=550kJ,D正确。
14. 下图表示某生态系统食物网的图解,猫头鹰体重每增加 $ 1 kg $,至少消耗 $ A $ 约( )

A.$ 100 kg $
B.$ 44.5 kg $
C.$ 25 kg $
D.$ 15 kg $
A.$ 100 kg $
B.$ 44.5 kg $
C.$ 25 kg $
D.$ 15 kg $
答案:
C 解析:分析题图可知,图中有3条食物链,即A→B→猫头鹰、A→C→B→猫头鹰、A→C→D→猫头鹰。题中所问为猫头鹰体重每增加1kg,至少消耗的A的质量,已知高营养级的能量求低营养级能量时,需最少能量,应选最短食物链,能量传递效率按20%计算。所以选最短食物链(A→B→猫头鹰),能量传递效率按20%计算,则至少消耗A的质量为1÷20%÷20%=25kg,C正确。
15. 由于赤潮的影响,一条 $ 6 kg $ 重的杂食性海洋鱼死亡。假如该杂食性海洋鱼的食物有 $ 1/3 $ 来自植物,$ 1/3 $ 来自食草鱼类,$ 1/3 $ 来自以食草鱼类为食的小型肉食鱼类,那么按能量传递效率为 $ 20\% $ 来计算,该杂食性鱼从出生到死亡共需海洋植物( )
A.$ 310 kg $
B.$ 240 kg $
C.$ 180 kg $
D.$ 150 kg $
A.$ 310 kg $
B.$ 240 kg $
C.$ 180 kg $
D.$ 150 kg $
答案:
A 解析:由题意可知,题干中存在3条食物链:①海洋植物→杂食性鱼,②海洋植物→食草鱼→杂食性鱼,③海洋植物→食草鱼→小型肉食鱼→杂食性鱼。杂食性鱼的食物1/3来自食物链①,1/3来自食物链②,1/3来自食物链③。该杂食性鱼从食物链①消耗的海洋植物为2÷20%=10kg,从食物链②消耗的海洋植物为2÷20%÷20%=50kg,从食物链③消耗的海洋植物为2÷20%÷20%÷20%=250kg,因此共需海洋植物10+50+250=310kg,A正确。
16. 某地出现了较为严重的自然灾害,下图为在人为干预下恢复过程中的能量流动图(单位:$ ×10^{3} kJ·m^{-2}·a^{-1} $)。

(1) 由图可知,肉食性动物需补偿输入的能量为______ $ kJ·m^{-2}·a^{-1} $,根据图中数据可知,营养级______(填“较高”或“较低”)的生物在这场灾害中受到的影响较大。
(2) 流入该生态系统的总能量是______ $ kJ·m^{-2}·a^{-1} $,用于植食性动物自身生长、发育和繁殖等生命活动的能量是______ $ kJ·m^{-2}·a^{-1} $。
(3) 在人为干预下,能量在第二营养级与第三营养级之间的传递效率为______(保留 $ 3 $ 位有效数字)。
(1) 由图可知,肉食性动物需补偿输入的能量为______ $ kJ·m^{-2}·a^{-1} $,根据图中数据可知,营养级______(填“较高”或“较低”)的生物在这场灾害中受到的影响较大。
(2) 流入该生态系统的总能量是______ $ kJ·m^{-2}·a^{-1} $,用于植食性动物自身生长、发育和繁殖等生命活动的能量是______ $ kJ·m^{-2}·a^{-1} $。
(3) 在人为干预下,能量在第二营养级与第三营养级之间的传递效率为______(保留 $ 3 $ 位有效数字)。
答案:
(1)$5×10^{3}$ 较高
(2)1.29×10^{5} 1.2×10^{4}
(3)15.6%
(1)$5×10^{3}$ 较高
(2)1.29×10^{5} 1.2×10^{4}
(3)15.6%
查看更多完整答案,请扫码查看