1. 二次函数$y=ax^{2}+k(a\neq0)$的图像的对称轴是
(1)当$a>0$时:图像开口
(2)当$a<0$时:图像开口
y轴
,顶点坐标为(0,k)
.(1)当$a>0$时:图像开口
向上
,当$x>0$时,$y$随$x$的增大而增大
,当$x<0$时,$y$随$x$的增大而减小
,当$x=$0
时,函数有最小值为k
.(2)当$a<0$时:图像开口
向下
,当$x>0$时,$y$随$x$的增大而减小
,当$x<0$时,$y$随$x$的增大而增大
,当$x=$0
时,函数有最大值为k
.
答案:
1.y轴 (0,k)
(1)向上 增大 减小 0 k
(2)向下 减小 增大 0 k
(1)向上 增大 减小 0 k
(2)向下 减小 增大 0 k
2. 二次函数$y=a(x+h)^{2}(a\neq0)$的图像的对称轴是
(1)当$a<0$时:图像开口
(2)当$a>0$时:图像开口
直线x=-h
,顶点坐标为(-h,0)
.(1)当$a<0$时:图像开口
向下
,当$x>-h$时,$y$随$x$的增大而减小
,当$x<-h$时,$y$随$x$的增大而增大
,当$x=$-h
时,函数有最大值为0
.(2)当$a>0$时:图像开口
向上
,当$x>-h$时,$y$随$x$的增大而增大
,当$x<-h$时,$y$随$x$的增大而减小
,当$x=$-h
时,函数有最小值为0
.
答案:
2.直线x=-h (-h,0)
(1)向下 减小 增大 -h 0
(2)向上 增大 减小 -h 0
(1)向下 减小 增大 -h 0
(2)向上 增大 减小 -h 0
1. 二次函数$y=-x^{2}+1$的大致图像是 (

D
)
答案:
1.D
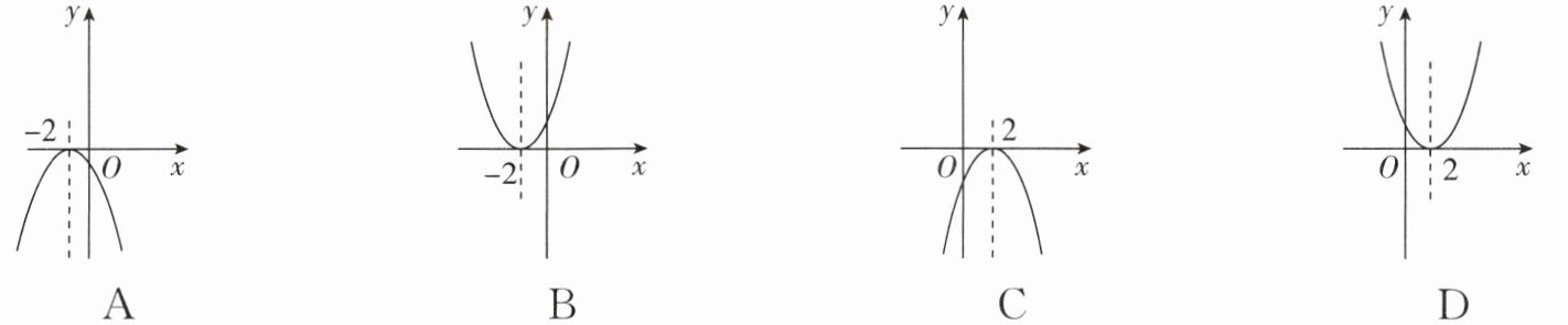
2. 二次函数$y=3(x - 2)^{2}$的大致图像是 (

D
)
答案:
2.D
3. 二次函数$y =-\frac{1}{2}(x + 5)^{2}$的图像开口向
下
,对称轴为直线x=-5
,当$x=$-5
时,$y$有最大
值,为0
;当$x$< -5
时,$y$随$x$的增大而增大.
答案:
3.下 直线x=-5 -5 大 0 < -5
4. 将抛物线$y =-2x^{2}$向上平移$4$个单位长度,得到新的抛物线的函数表达式为
$y=-2x^{2}+4$
,新抛物线的对称轴为y轴
,当$x>0$时,$y$随$x$的增大而减小
,当$x=$0
时,函数有最大
值,最值为4
.
答案:
$4.y=-2x^{2}+4 y$轴 减小 0 大 4
查看更多完整答案,请扫码查看