1. 用描点法画函数图像的一般步骤是
列表
、描点
、连线
.
答案:
1.列表 描点 连线
2. 二次函数$y = ax^{2}$的图像形状是一条
抛物线
,且关于$y$
轴对称,抛物线与对称轴的交点叫做抛物线的顶点
.
答案:
2.抛物线 $y$ 顶点
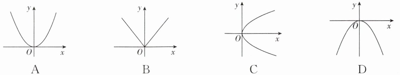
1. 下列选项中是二次函数$y = x^{2}$的图像的是 (

A
)
答案:
1.A
2. 二次函数$y = - x^{2}$的图像一定经过点 (
A.$(2,4)$
B.$( - 2, - 4)$
C.$( - 4,2)$
D.$(4, - 2)$
B
)A.$(2,4)$
B.$( - 2, - 4)$
C.$( - 4,2)$
D.$(4, - 2)$
答案:
2.B
3. 二次函数$y = - 3x^{2}$的图像形状是
抛物线
,且关于$y$轴
对称,顶点坐标为(0,0)
.
答案:
3.抛物线 $y$轴 (0,0)
4. 若二次函数$y = ax^{2}$的图像经过点$( - 1,4),(b,4)$,则$a =$
4
,$b =$1
.
答案:
4.4 1
5. 补全表格,并在如图所示的平面直角坐标系中,画出函数$y = \frac{1}{4}x^{2}$和$y = - \frac{1}{4}x^{2}$的图像.


答案:
5.解:填表如下:

函数图像如答图所示.
5.解:填表如下:
函数图像如答图所示.
6. 已知抛物线$y = ax^{2}$经过点$(1,3)$,求当$y = 4$时,$x$的值.
答案:
6.解:将点$(1,3)$代入$y=ax^2$,得$a=3$,$\therefore y=3x^2$。
当$y=4$时,$3x^2=4$,解得$x=\pm\frac{2\sqrt{3}}{3}$。
当$y=4$时,$3x^2=4$,解得$x=\pm\frac{2\sqrt{3}}{3}$。
查看更多完整答案,请扫码查看