2025年新课标学习方法指导丛书八年级科学上册浙教版
注:目前有些书本章节名称可能整理的还不是很完善,但都是按照顺序排列的,请同学们按照顺序仔细查找。练习册 2025年新课标学习方法指导丛书八年级科学上册浙教版 答案主要是用来给同学们做完题方便对答案用的,请勿直接抄袭。
第60页
- 第1页
- 第2页
- 第3页
- 第4页
- 第5页
- 第6页
- 第7页
- 第8页
- 第9页
- 第10页
- 第11页
- 第12页
- 第13页
- 第14页
- 第15页
- 第16页
- 第17页
- 第18页
- 第19页
- 第20页
- 第21页
- 第22页
- 第23页
- 第24页
- 第25页
- 第26页
- 第27页
- 第28页
- 第29页
- 第30页
- 第31页
- 第32页
- 第33页
- 第34页
- 第35页
- 第36页
- 第37页
- 第38页
- 第39页
- 第40页
- 第41页
- 第42页
- 第43页
- 第44页
- 第45页
- 第46页
- 第47页
- 第48页
- 第49页
- 第50页
- 第51页
- 第52页
- 第53页
- 第54页
- 第55页
- 第56页
- 第57页
- 第58页
- 第59页
- 第60页
- 第61页
- 第62页
- 第63页
- 第64页
- 第65页
- 第66页
- 第67页
- 第68页
- 第69页
- 第70页
- 第71页
- 第72页
- 第73页
- 第74页
- 第75页
- 第76页
- 第77页
- 第78页
5. 如图所示是小科测量小灯泡 L₁ 两端电压的电路。图中有一根导线接错了,接错的导线是 (

A.导线 1
B.导线 2
C.导线 3
D.导线 4
C
)A.导线 1
B.导线 2
C.导线 3
D.导线 4
答案:
C
6. 小科在实验室里连接了如图所示的电路,关于此电路,下列说法正确的是 (

A.小灯泡 L₁、L₂ 并联,电压表测电源电压
B.小灯泡 L₁、L₂ 串联,电压表测 L₂ 两端的电压
C.若小灯泡 L₁ 短路,则电压表示数为 0
D.若小灯泡 L₂ 短路,则电压表示数为 3 V
B
)A.小灯泡 L₁、L₂ 并联,电压表测电源电压
B.小灯泡 L₁、L₂ 串联,电压表测 L₂ 两端的电压
C.若小灯泡 L₁ 短路,则电压表示数为 0
D.若小灯泡 L₂ 短路,则电压表示数为 3 V
答案:
B
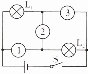
7. 如图所示电路图,已知两只小灯泡 L₁ 和 L₂ 均能发光且相互影响,则关于①、②和③三个电表(电流表或电压表)的判断正确的是 (

A.①和③是电流表,②是电压表
B.②和③是电流表,①是电压表
C.②是电流表,①和③是电压表
D.①、②和③都是电流表
A
)A.①和③是电流表,②是电压表
B.②和③是电流表,①是电压表
C.②是电流表,①和③是电压表
D.①、②和③都是电流表
答案:
A
8. 小科制作的水果电池可以使发光二极管(具有单向导电性)发光,其工作时将

化学
能转化为电能对外供电。由图可知,金属片 A 是水果电池的 正
(填“正”或“负”)极;将发光二极管正、负极接线对调后,发光二极管不发光,此时水果电池的正、负极之间 有
(填“有”或“没有”)电压。
答案:
化学;正;有
9. 如图所示电路图,闭合开关 S,发现灯 L₁、L₂ 均不亮,电流表示数为 0,说明电路的故障是

断路
。用电压表进行检测,发现 b、c 间的电压为 0,a、b 和 a、c 间的电压均为 3 V,则电路具体的故障是 L₁断路
。
答案:
断路;L₁断路
查看更多完整答案,请扫码查看