2025年新课标学习方法指导丛书八年级科学上册浙教版
注:目前有些书本章节名称可能整理的还不是很完善,但都是按照顺序排列的,请同学们按照顺序仔细查找。练习册 2025年新课标学习方法指导丛书八年级科学上册浙教版 答案主要是用来给同学们做完题方便对答案用的,请勿直接抄袭。
第37页
- 第1页
- 第2页
- 第3页
- 第4页
- 第5页
- 第6页
- 第7页
- 第8页
- 第9页
- 第10页
- 第11页
- 第12页
- 第13页
- 第14页
- 第15页
- 第16页
- 第17页
- 第18页
- 第19页
- 第20页
- 第21页
- 第22页
- 第23页
- 第24页
- 第25页
- 第26页
- 第27页
- 第28页
- 第29页
- 第30页
- 第31页
- 第32页
- 第33页
- 第34页
- 第35页
- 第36页
- 第37页
- 第38页
- 第39页
- 第40页
- 第41页
- 第42页
- 第43页
- 第44页
- 第45页
- 第46页
- 第47页
- 第48页
- 第49页
- 第50页
- 第51页
- 第52页
- 第53页
- 第54页
- 第55页
- 第56页
- 第57页
- 第58页
- 第59页
- 第60页
- 第61页
- 第62页
- 第63页
- 第64页
- 第65页
- 第66页
- 第67页
- 第68页
- 第69页
- 第70页
- 第71页
- 第72页
- 第73页
- 第74页
- 第75页
- 第76页
- 第77页
- 第78页
1. 一个物体受到两个力的作用,这两个力的三要素完全相同,那么这两个力(
A.一定不是平衡力
B.一定是平衡力
C.可能是平衡力
D.条件不足,无法判断
A
)A.一定不是平衡力
B.一定是平衡力
C.可能是平衡力
D.条件不足,无法判断
答案:
A
2. 下列运动过程中,处于平衡状态的物体是 (
A.在空中由静止开始下落的苹果
B.竖直向上抛出的石子
C.沿光滑斜坡滚动的小球
D.在空中匀速直线下降的跳伞运动员
D
)A.在空中由静止开始下落的苹果
B.竖直向上抛出的石子
C.沿光滑斜坡滚动的小球
D.在空中匀速直线下降的跳伞运动员
答案:
D
3. 下列各图是小球在不同运动状态下每隔 0.1 s 被拍摄一次的频闪照片,其中受到平衡力作用的是 (

A B C D
C
)A B C D
答案:
C
4. 如图所示,小科手握杯子并保持静止,与杯子受到的摩擦力是一对平衡力的是(

A.杯子受到的压力
B.杯子对手的摩擦力
C.杯子受到的重力
D.杯子对手的支持力
C
)A.杯子受到的压力
B.杯子对手的摩擦力
C.杯子受到的重力
D.杯子对手的支持力
答案:
C
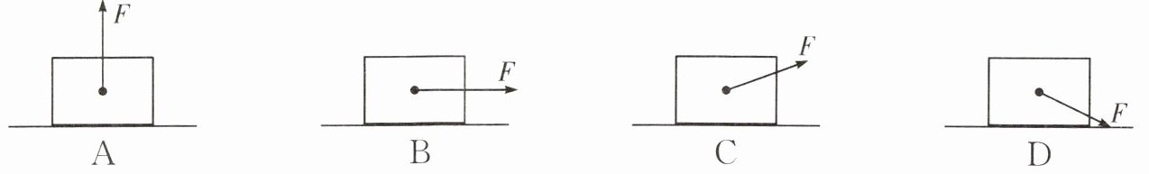
5. 如图所示,在光滑水平地面上,一物体在拉力的作用下做匀速直线运动,则拉力的方向可能是 (

A B C D
A
)A B C D
答案:
A
查看更多完整答案,请扫码查看