第13页
- 第1页
- 第2页
- 第3页
- 第4页
- 第5页
- 第6页
- 第7页
- 第8页
- 第9页
- 第10页
- 第11页
- 第12页
- 第13页
- 第14页
- 第15页
- 第16页
- 第17页
- 第18页
- 第19页
- 第20页
- 第21页
- 第22页
- 第23页
- 第24页
- 第25页
- 第26页
- 第27页
- 第28页
- 第29页
- 第30页
- 第31页
- 第32页
- 第33页
- 第34页
- 第35页
- 第36页
- 第37页
- 第38页
- 第39页
- 第40页
- 第41页
- 第42页
- 第43页
- 第44页
- 第45页
- 第46页
- 第47页
- 第48页
- 第49页
- 第50页
- 第51页
- 第52页
- 第53页
- 第54页
- 第55页
- 第56页
- 第57页
- 第58页
- 第59页
- 第60页
- 第61页
- 第62页
- 第63页
- 第64页
- 第65页
- 第66页
- 第67页
- 第68页
- 第69页
- 第70页
- 第71页
- 第72页
- 第73页
- 第74页
- 第75页
- 第76页
- 第77页
- 第78页
- 第79页
- 第80页
- 第81页
- 第82页
- 第83页
- 第84页
- 第85页
- 第86页
- 第87页
- 第88页
- 第89页
- 第90页
- 第91页
- 第92页
- 第93页
- 第94页
- 第95页
11. 2,-1,-2这三个数中,任意两个数之和的最大值为 (
A.-1
B.0
C.1
D.2
C
)A.-1
B.0
C.1
D.2
答案:
C
12. 下列说法中,正确的是 (
A.两个有理数的和不可能等于0
B.若两个有理数的和为正数,则这两个数都是正数
C.若两个有理数的和为负数,则这两个数都是负数
D.两个有理数相加,和是一个有理数
D
)A.两个有理数的和不可能等于0
B.若两个有理数的和为正数,则这两个数都是正数
C.若两个有理数的和为负数,则这两个数都是负数
D.两个有理数相加,和是一个有理数
答案:
D
13. 已知$|a|= 2,|b|= 7$,且$a\lt b$,则$a+b$的计算结果为
9或5
.
答案:
9或5 [解析]因为|a|=2,所以a = 2或a = -2,因为|b|=7,所以b = 7或b = -7.因为a<b,所以a = 2,b = 7或a = -2,b = 7,所以a + b的值为9或5.
14. (教材练习第3题改编)计算:
(1)$-15+(-\frac {1}{2})$; (2)$(-\frac {16}{3})+(+\frac {5}{6})$.
(1)$-15+(-\frac {1}{2})$; (2)$(-\frac {16}{3})+(+\frac {5}{6})$.
答案:
解:
(1)原式=-(15 + $\frac{1}{2}$)=-($\frac{30}{2}$ + $\frac{1}{2}$)=-$\frac{31}{2}$;
(2)原式=-($\frac{16}{3}$ - $\frac{5}{6}$)=-($\frac{32}{6}$ - $\frac{5}{6}$)=-$\frac{27}{6}$=-$\frac{9}{2}$.
(1)原式=-(15 + $\frac{1}{2}$)=-($\frac{30}{2}$ + $\frac{1}{2}$)=-$\frac{31}{2}$;
(2)原式=-($\frac{16}{3}$ - $\frac{5}{6}$)=-($\frac{32}{6}$ - $\frac{5}{6}$)=-$\frac{27}{6}$=-$\frac{9}{2}$.
15. 列式并计算:+5.8的相反数与-4.2的绝对值的和.
答案:
解:根据题意可得,-5.8+|-4.2|=-5.8 + 4.2=-1.6.
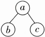
16. (中考新考法·阅读理解题)如图,定义在每一个枝干单元“

”中,都有$a= b+c$,请你按照这个规则在圆圈中填上合适的数.

”中,都有$a= b+c$,请你按照这个规则在圆圈中填上合适的数.
答案:
解:在圆圈中填数如解图.
解:在圆圈中填数如解图.
17. (教材复习题第7题改编)在一场激烈的足球锦标赛中,甲、乙、丙三支足球队展开了精彩角逐.比赛结果如下:甲队胜乙队,比分是5:3;丙队胜乙队,比分是4:2;甲队负丙队,比分是3:4.为了更清晰地分析各队表现,规定进球数记为正,失球数记为负,每进一球记一分.请计算三支球队各自的净胜球数.(计失球数为负时,净胜球数= 总进球数+总失球数)
答案:
解:甲队:进球记为5 + 3 = 8(个),失球记为(-3)+(-4)=-7(个),净胜球数:8+(-7)=1(个);乙队:进球记为3 + 2 = 5(个),失球记为(-5)+(-4)=-9(个),净胜球数:5+(-9)=-4(个);丙队:进球记为4 + 4 = 8(个),失球记为(-2)+(-3)=-5(个),净胜球数:8+(-5)=3(个).答:甲队净胜球数是1个,乙队净胜球数是-4个,丙队净胜球数是3个;
18. (代数推理)探索研究:
(1) 比较下列各式的大小.(填“<”“>”或“=”)
①$|3|+|5|$
②$|-2|+|6|$
③$|-\frac {1}{2}|+|0|$
④$|-1|+|-\frac {3}{4}|$
(2)通过以上比较,请你分析并归纳出:两个数的绝对值之和与两个数的和的绝对值之间的大小关系.
[此考法山东、宁夏等地中考已考查]
(1) 比较下列各式的大小.(填“<”“>”或“=”)
①$|3|+|5|$
=
$|3+5|$;②$|-2|+|6|$
>
$|-2+6|$;③$|-\frac {1}{2}|+|0|$
=
$|-\frac {1}{2}+0|$;④$|-1|+|-\frac {3}{4}|$
=
$|-1+(-\frac {3}{4})|$;(2)通过以上比较,请你分析并归纳出:两个数的绝对值之和与两个数的和的绝对值之间的大小关系.
[此考法山东、宁夏等地中考已考查]
设两个数分别为a和b,由(1)得,当a,b同号时,|a|+|b|=|a + b|;当a = 0或b = 0时,|a|+|b|=|a + b|;当a,b异号时,|a|+|b|>|a + b|.所以两个数的绝对值之和大于或等于两个数的
答案:
解:
(1)①=;②>;③=;④=;
(2)设两个数分别为a和b,由
(1)得,当a,b同号时,|a|+|b|=|a + b|;当a = 0或b = 0时,|a|+|b|=|a + b|;当a,b异号时,|a|+|b|>|a + b|.所以两个数的绝对值之和大于或等于两个数的
(1)①=;②>;③=;④=;
(2)设两个数分别为a和b,由
(1)得,当a,b同号时,|a|+|b|=|a + b|;当a = 0或b = 0时,|a|+|b|=|a + b|;当a,b异号时,|a|+|b|>|a + b|.所以两个数的绝对值之和大于或等于两个数的
查看更多完整答案,请扫码查看