2025年暑假作业假期园地七年级数学北师大版中原农民出版社
注:目前有些书本章节名称可能整理的还不是很完善,但都是按照顺序排列的,请同学们按照顺序仔细查找。练习册 2025年暑假作业假期园地七年级数学北师大版中原农民出版社 答案主要是用来给同学们做完题方便对答案用的,请勿直接抄袭。
10. $\frac {x-2}{6}-\frac {x+2}{3}= 1+\frac {x-1}{2}$.
答案:
$ - \frac { 9 } { 4 } $
11. 如图所示,直线$AB$,$CD相交于点O$,作$∠DOE= ∠1$,$OF平分∠AOE$,若$∠2= 28^{\circ }$,求$∠EOF$的度数.

答案:
$ \because A B , C D $ 相交于 $ O , \therefore \angle 1 = \angle 2 = 28 ^ { \circ } , \because \angle E O D = \angle 1 , \therefore \angle E O B = 2 \angle 1 = 56 ^ { \circ } , \because \angle A O E + \angle E O D = 180 ^ { \circ } $,
$ \therefore \angle A O E = 180 ^ { \circ } - \angle E O D = 180 ^ { \circ } - 56 ^ { \circ } = 124 ^ { \circ } $。$ \because O F $ 平分 $ \angle A O E , \therefore \angle E O F = \frac { 1 } { 2 } \angle A O E = \frac { 1 } { 2 } \times 124 ^ { \circ } = 62 ^ { \circ } $。
$ \therefore \angle A O E = 180 ^ { \circ } - \angle E O D = 180 ^ { \circ } - 56 ^ { \circ } = 124 ^ { \circ } $。$ \because O F $ 平分 $ \angle A O E , \therefore \angle E O F = \frac { 1 } { 2 } \angle A O E = \frac { 1 } { 2 } \times 124 ^ { \circ } = 62 ^ { \circ } $。
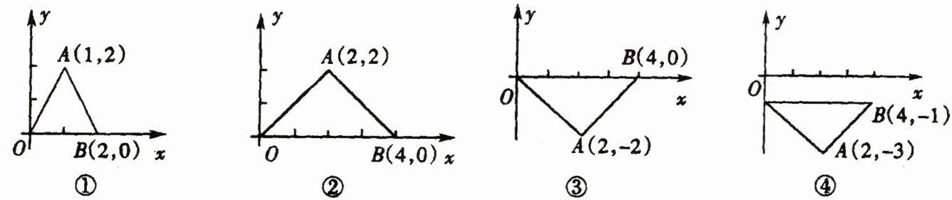
12. 观察下图中由①→②→③→④的变化过程,写出每一步图形是如何变化的,图形中各顶点的坐标是如何变化的.

答案:
由①到②:图形向右平移$1$个单位长度,$A$点坐标由$(1,2)$变为$(2,2)$(横坐标加$1$,纵坐标不变),$B$点坐标由$(2,0)$变为$(4,0)$(横坐标加$2$,纵坐标不变);
由②到③:图形关于$x$轴对称,$A$点坐标由$(2,2)$变为$(2,-2)$(横坐标不变,纵坐标变为原来的相反数),$B$点坐标$(4,0)$关于$x$轴对称后仍为$(4,0)$;
由③到④:图形向下平移$1$个单位长度,$A$点坐标由$(2,-2)$变为$(2,-3)$(横坐标不变,纵坐标减$1$),$B$点坐标由$(4,0)$变为$(4,-1)$(横坐标不变,纵坐标减$1$)。
由②到③:图形关于$x$轴对称,$A$点坐标由$(2,2)$变为$(2,-2)$(横坐标不变,纵坐标变为原来的相反数),$B$点坐标$(4,0)$关于$x$轴对称后仍为$(4,0)$;
由③到④:图形向下平移$1$个单位长度,$A$点坐标由$(2,-2)$变为$(2,-3)$(横坐标不变,纵坐标减$1$),$B$点坐标由$(4,0)$变为$(4,-1)$(横坐标不变,纵坐标减$1$)。
查看更多完整答案,请扫码查看