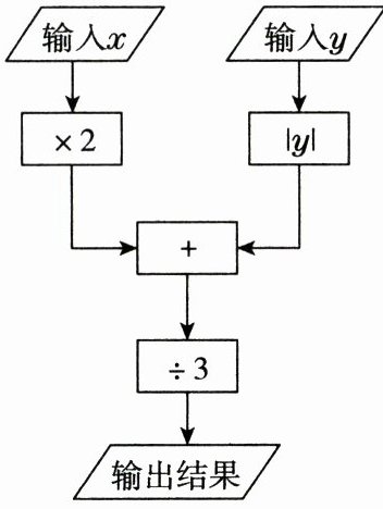
19. 如图所示的是一个数值转换机的示意图.
(1)若输入x的值为3,输入y的值为$-6$,求输出的结果;
(2)若输入x的值为4,输出的结果为5,则输入y的值为

(1)若输入x的值为3,输入y的值为$-6$,求输出的结果;
(2)若输入x的值为4,输出的结果为5,则输入y的值为
7或$-7$
.
答案:
解:
(1)输出的结果是$(3× 2+|-6|)÷ 3=4$.
(2)7或$-7$
(1)输出的结果是$(3× 2+|-6|)÷ 3=4$.
(2)7或$-7$
20. 某食品厂从生产的袋装食品中随机抽取20袋,检测每袋的质量是否符合标准,超过或不足的部分分别用正、负数来表示,记录如下表:

(1)抽检的20袋食品的总质量比标准总质量多还是少?多或少几克?
(2)若每袋的标准质量为450 g,则抽检食品的总质量是多少?
(1)抽检的20袋食品的总质量比标准总质量多还是少?多或少几克?
(2)若每袋的标准质量为450 g,则抽检食品的总质量是多少?
答案:
解:
(1)抽检的20袋食品的总质量比标准总质量多,多24g.
(2)若每袋的标准质量为450 g,则抽检食品的总质量是9024g.
(1)抽检的20袋食品的总质量比标准总质量多,多24g.
(2)若每袋的标准质量为450 g,则抽检食品的总质量是9024g.
查看更多完整答案,请扫码查看